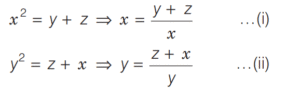
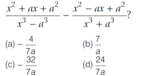
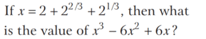
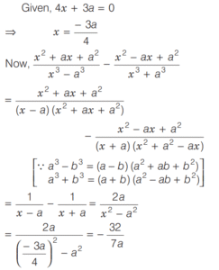
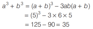
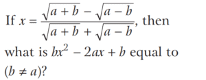
BASIC OPERATION AND FACTORISATION (CDS)Total Questions: 7741. If the HCF of polynomials f(x) = (x - l)(x² + 3x + a) and g(x) = (x + 2)(x² + 2x + b) is (x² + x - 2) then what are the values of a and b respectively? [2017 (II) Evening Shift](a) 2, 2(b) 2, -3(c) -1, -3(d) -2, -1Correct Answer: (b) 2, -3Solution:42. Solve the following equation [2017 (I) Morning Shift ](a) 0(b) 1(c) ab(d) 2abCorrect Answer: (a) 0Solution: 43. Solve the following equation [2017 (I) Morning Shift ](a) 0(b) 1(c) 2(d) 3Correct Answer: (c) 2Solution:44. If a³ = 335 + b³ and a = 5 + b, then what is the value of a + b (given that a > 0 and b > 0 ) ? [2017 (I) Morning Shift ](a) 7(b) 9(c) 16(d) 49Correct Answer: (b) 9Solution:45. If a + b = 5 and ab = 6 then what is the value of a³ + b³ ? [2017 (I) Morning Shift ](a) 35(b) 40(c) 90(d) 125Correct Answer: (a) 35Solution:We know that,46. (x + 4) is a factor of which one of the following expressions? [2017 (I) Morning Shift ](a) x² - 7x + 44(b) x² + 7x - 44(c) x² - 7x - 44(d) x² + 7x + 44Correct Answer: (c) x² - 7x - 44Solution:We have, (x + 4) as a factor47. Solve the following equation [2017 (I) Morning Shift ](a) 3(b) 2(c) 1(d) 0Correct Answer: (b) 2Solution:We have,48. Solve the following equation [2016 (II) Evening Shift](a) − 1(b) 1(c) 2(d) 4Correct Answer: (b) 1Solution:Given, 49. Solve the following equation [2016 (II) Evening Shift](a)(b)(c)(d)Correct Answer: (b)Solution:50. If 4x + 3a = 0, then what is the value of [2016 (II) Evening Shift](a)(b)(c)(d)Correct Answer: (c)Solution:Submit Quiz« Previous12345678Next »