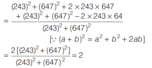
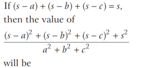
BASIC OPERATION AND FACTORISATION (CDS)Total Questions: 7751. For what value of k is (x + 1) a factor of x³ + kx² - x + 2 ? [2016 (I) Morning Shift](a) 4(b) 3(c) 1(d) -2Correct Answer: (d) -2Solution:52. Solve the following equation [2016 (I) Morning Shift](a) 1(b) 2(c) 3(d) 4Correct Answer: (c) 3Solution: 53. If (s - a) + (s - b) + (s - c) = s then the value of [2016 (I) Morning Shift](a) 3(b) 1(c) 0(d) -1Correct Answer: (b) 1Solution:Given, (s - a) + (s - b) + (s - c) = s, ⇒ 2s = (a + b + c)54. Let p and q be non-zero integers. Consider the polynomial A(x) = x² + px + q It is given that (x - m) and (x - km) are simple factors of A (x), where m is a non-zero integer and k is a positive integer, k ≥ 2 Which one of the following is correct? [2016 (I) Morning Shift](a) (k + 1)²p² = kq(b) (k + 1)²q = kp²(c) k²q = (k + 1)p²(d) k²p² = (k + 1)²qCorrect Answer: (b) (k + 1)²q = kp²Solution:55. If the linear factors of ax² - (a² + 1) x + a are p and q, then p + q is equal to [2016 (I) Morning Shift](a) (x - 1)(a + 1)(b) (x + 1)(a + 1)(c) (x - 1)(a - 1)(d) (x + 1)(a - 1)Correct Answer: (a) (x - 1)(a + 1)Solution:56. The value of the expression [2016 (I) Morning Shift](a) 0(b) 1(c) 2(d) 3Correct Answer: (c) 2Solution: 57. If the polynomial x⁶ + px⁵ + qx⁴ - x² - x - 3 is divisible by (x⁴ - 1) then the value of p² + q² is [2016 (I) Morning Shift](a) 1(b) 9(c) 10(d) 13Correct Answer: (c) 10Solution:58. Solve the following equation [2016 (I) Morning Shift](a) Only 1(b) Only 2(c) Both 1 and 2(d) Neither 1 nor 2Correct Answer: (a) Only 1Solution: 59. Solve the following equation [2016 (I) Morning Shift](a) 0(b) 1(c) 2(d) 3Correct Answer: (a) 0Solution: 60. If a³ = 117 + b³ and a = 3 + b then the value of a + b is (given that a > 0 and b > 0 ) [2016 (I) Morning Shift](a) 7(b) 9(c) 11(d) 13Correct Answer: (a) 7Solution:We have,Submit Quiz« Previous12345678Next »