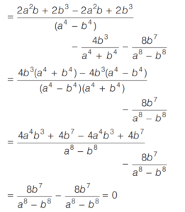
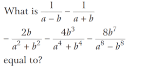
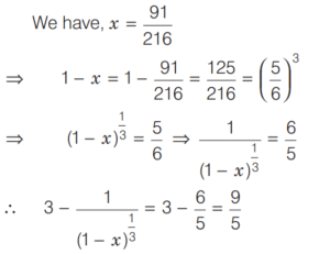
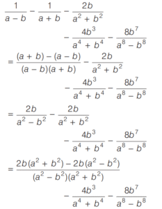
BASIC OPERATION AND FACTORISATION (CDS)Total Questions: 7761. Which one of the following is correct? [2015 (II) Evening Shift](a)(b)(c)(d)Correct Answer: (c)Solution: 62. Solve the following equation [2015 (II) Evening Shift](a)(b)(c)(d)Correct Answer: (a)Solution:63. Solve the following equation [2015 (I) Morning Shift ](a) 1(b) 2(c) 3(d) Cannot be determined due to insufficient dataCorrect Answer: (d) Cannot be determined due to insufficient dataSolution: 64. For what value of k is (x - 5) a factor of x³ - 3x² + kx - 10 ? [2015 (I) Morning Shift ](a) -8(b) 4(c) 2(d) 1Correct Answer: (a) -8Solution:65. The expression x³q² - x³ pt + 4x²pt - 4xq² + 3xq² - 3xpt is divisible by [2015 (I) Morning Shift ](a) Only (x - 1)(b) Only (x - 3)(c) Both (x - 1) and (x - 3)(c) Both (x - 1) and (x - 3)Correct Answer: (c) Both (x - 1) and (x - 3)Solution:66. If x + y + z = 0, then x³ + y³ + z³ -3xyz is equal to [2015 (I) Morning Shift ](a) 0(b) 6xyz(c) 12xyz(d) xyzCorrect Answer: (a) 0Solution:67. If a - b = 4 and a² + b² = 40 where a and b are positive integers, then a³ + b⁶ is equal to [2015 (I) Morning Shift ](a) 264(b) 280(c) 300(d) 324Correct Answer: (b) 280Solution: 68. If (x + k) is the common factor of x² + ax + b and x² + cx + d then what is k equal to? [2014 (II) Evening Shift](a) (d - b) / (c - a)(b) (d - b) / (a - c)(c) (d + b) / (c + a)(d) (d - b) / (c + a)Correct Answer: (a) (d - b) / (c - a)Solution:69. What is the remainder when x⁵ - 5x² + 125 is divided by (x + 5) ? [2014 (II) Evening Shift](a) 0(b) 125(c) - 3125(d) 3125Correct Answer: (c) - 3125Solution:70. Solve the following equation [2014 (II) Evening Shift](a) a + b(b) a - b(c) 1(d) 0Correct Answer: (d) 0Solution: Submit Quiz« Previous12345678Next »