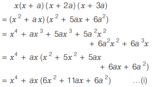
BASIC OPERATION AND FACTORISATION (CDS)Total Questions: 7771. If ax + by - 2 = 0 and axby = 1, where a ≠ 0, b ≠ 0 , then what is (a²x + b²y) equal to? [2014 (II) Evening Shift](a) a + b(b) 2ab(c) a³ + b³(d) a⁴+ b⁴Correct Answer: (a) a + bSolution:72. Consider the following statements [2014 (II) Evening Shift]1. (a - b - c) is one of the factor of 3abc + b³ + c³ - a³ 2. (b + c - 1) is one of the factors of 3bc + b³ + c³ - 1.Which of the above statement(s) is/are correct?(a) Only 1(b) Only 2(c) Both 1 and 2(d) Neither 1 nor 2Correct Answer: (c) Both 1 and 2Solution:73. x³ + 6x² + 11x + 6 is divisible by [2014 (I) Morning Shift ](a) Only (x + 1)(b) Only (x + 2)(c) Only (x + 3)(d) All of the aboveCorrect Answer: (d) All of the aboveSolution:74. What should be added to x(x + a) (x + 2a) (x + 3a) so that the sum must be a perfect square? [2014 (I) Morning Shift ](a) 9a²(b) 4a²(c) a⁴(d) None of the aboveCorrect Answer: (c) a⁴Solution: 75. If 3x⁴ - 2x³ + 3x² - 2x + 3 is divided by (3x + 2) then the remainder is [2014 (I) Morning Shift ](a) 0(b) 185/27(c) 181/25(d) 3/4Correct Answer: (b) 185/27Solution:76. The expression 2x³ + x² - 2x - 1 is divisible by [2014 (I) Morning Shift ](a) x + 2(b) 2x + 1(c) x - 2(d) 2x - 1Correct Answer: (b) 2x + 1Solution:77. Solve the following equation [2014 (I) Morning Shift ](a)(b)(c)(d)Correct Answer: (b)Solution: Submit Quiz« Previous12345678