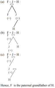
BLOOD RELATION (General Mental Ability) UPSC EPFOTotal Questions: 3011. E is A’s son. C is the mother of A and wife of D. How is A related to E?(a) Father(b) Uncle(c) Father-in-law(d) Data inadequateCorrect Answer: (d) Data inadequateSolution:C is the wife of D and E is the son of A. Hence, A is either father or mother of E.12. A is brother of B. C is mother of B. M is sister of C. How is M related to B?(a) Nephew(b) Niece(c) Aunt(d) Cannot be determinedCorrect Answer: (c) AuntSolution:13. R is the daughter of Q. M is the sister of B who is the son of Q. How M is related to R?(a) Cousin(b) Niece(c) Sister(d) AuntCorrect Answer: (c) SisterSolution:14. M is N’s brother. S is D’s mother and M’s aunt. How is D related to M?(a) Sister(b) Cousin(c) Aunt(d) Cannot be determinedCorrect Answer: (b) CousinSolution:S, is D’s mother and M’s aunty. Therefore, D is M’s cousin.15. P is father of J. S is mother of N who is brother of J. B is son of S. C is sister of B. How J is related to C?(a) Data inadequate(b) Cousin(c) Brother(d) SisterCorrect Answer: (a) Data inadequateSolution:16. If ‘A × B’ means ‘B is father of A’, ‘A+ B’ means ‘A is wife of B’ and ‘A ÷ B’ means ‘A is brother of B’, then, what is the relation of J with L in ‘J + H ÷ R × L’?(a) Daughter(b) Daughter-in-law(c) Sister-in-law(d) Cannot be determinedCorrect Answer: (b) Daughter-in-lawSolution:17. Following questions are based on the information provided below:‘A × B’ means`A is mother of B’. ‘A – B’ means `A is brother of B’. ‘A + B’ means `A is sister of B’. ‘A ÷ B’ means ‘A is father of B’. Which of the following means ‘R’ is maternal uncle of ‘T’?(a) R – M × T(b) R + M × T(c) T × M – R(d) T + M ÷ RCorrect Answer: (a) R – M × TSolution:18. Which of the following means ‘F’ is paternal grandfather of ‘H’ ?(a) F – J ÷ H(b) F ÷J – H(c) F ÷ J ÷ H(d) H ÷ J ÷ FCorrect Answer: (c) F ÷ J ÷ HSolution:19. How is K related to M in R ÷ M – K?(a) Son(b) Daughter(c) Nephew(d) Cannot be determinedCorrect Answer: (d) Cannot be determinedSolution:20. How will ‘M is daughter of N’ be written?(a) M + D × N(b) N ÷ M + W(c) N ÷ M(d) N × MCorrect Answer: (b) N ÷ M + WSolution:Submit Quiz« Previous123Next »