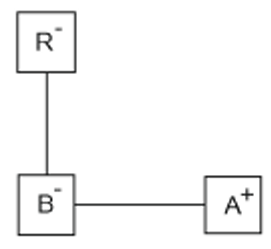
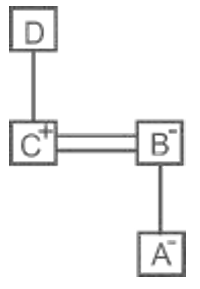
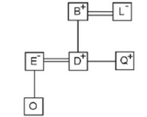
Blood Relation – Railway Reasoning part – 1Total Questions: 5031. Which of the following indicates the relationship ‘R is the daughter of Q’ ? [Level 3 (14/06/2022) Shift 2]‘X is the mother of Y’ is represented by ‘X < Y’ ‘X is the husband of Y’ is represented by ‘X > Y’ ‘X is the sister of Y’ is represented by ‘X @ Y’ ‘X is the son of Y’ is represented by ‘X $ Y’(a) R @ H > K < Q(b) R @ H $ K > Q(c) Q > K @ R $ H(d) Q < K @ H $ RCorrect Answer: (b) R @ H $ K > QSolution:By hit and trial method, Through option (b)32. B’s mother is the daughter of F. C is the son of F and D. G is the son of C and E. D is the mother of R. How is F related to G ? [Level 5 (15/06/2022) Shift 1](a) Father’s mother(b) Brother(c) Mother’s father(d) Father’s fatherCorrect Answer: (d) Father’s fatherSolution: According to the above family tree, F is the G’s Father’s Father.33. There are seven members in a family. D is the mother of F. D is G’s father’s mother. G is the brother of A and C. F is the only son of E. How is E related to C ? [Level 5 (15/06/2022) Shift 2](a) Brother(b) Mother’s brother(c) Father(d) Father’s fatherCorrect Answer: (d) Father’s fatherSolution:According to the above diagram, E is C’s father’s father.34. B’s mother R has only one daughter. A is the only son of R . How is B related to A ? [Level 2 (16/06/2022) Shift 2](a) Sister(b) Father(c) Brother(d) Mother’s sisterCorrect Answer: (a) SisterSolution:We can clearly see in the above diagram that B is the sister of A.35. Then how is E related to L in the following expression? [Level 3 (17/06/2022) Shift 1]If “S # T’ means S is the father of T, ‘S $ T’ means S is the mother of T’ ‘S @ T’ means S is the husband of T’ ‘S = T’ means S is the son of T’ L $ Q = B # D @ E $ O(a) Daughter(b) Mother(c) Mother-in-law(d) Daughter-in-lawCorrect Answer: (d) Daughter-in-lawSolution:We can clearly see in the above diagram that E is daughter-in-law of L.36. Pointing at a picture, Yuvika said that the boy in the picture is the son of her father’s mother’s daughter. How is that boy related to Yuvika ? [Level 3 (17/06/2022) Shift 2](a) Brother(b) Mother’s brother’s son(c) Father’s sister’s son(d) Father’s brotherCorrect Answer: (c) Father’s sister’s sonSolution:From the above figure, we can see that the boy is Yuvika’s father’s sister’s son.37. Which of the following option is correct for the given expression ? [Level 3 (17/06/2022) Shift 3]‘P + Q’ means ‘P is the daughter of Q’ ‘P × Q’ means ‘P is the son of Q’ ‘P - Q’ means ‘P is the wife of Q’(a) B is the son of D(b) A is the daughter of D’s Son(c) B is the daughter of D(d) C is the wife of DCorrect Answer: (b) A is the daughter of D’s SonSolution:We can clearly see that A is the daughter of D’s son.38. P is the brother of Q and R. S is R‘s mother. T is P’s father. Which of the following statements CANNOT be definitely true ? [RRB NTPC 28/12/2020 (Morning)](a) S is P’s mother(b) T is Q’s Husband(c) T is Q’s Father(d) T is S’s HusbandCorrect Answer: (b) T is Q’s HusbandSolution:From the given information we can draw the following diagram:P is the brother of Q and R. Their father and mother are T and S respectively. Then the option (b) “ T is Q’s Husband” cannot be definitely true.39. Shanti's daughter Chandini is married to Abhi. Anchal is married to Sandy, the grandson of Shanti. Abhi's grandson is Karan. Rashmi is the mother of Karan. Shaurya is Anchal's son. How is Shaurya related to Karan? [RRB NTPC 28/12/2020 (Evening)](a) Son(b) Brother(c) Nephew(d) CousinCorrect Answer: (d) CousinSolution:From the given information we can draw the following diagram, So, we can see that Shaurya is cousin of Karan.40. If a*b means ‘a is the brother of b’, a#b means ‘a is the father of b’ and a$b means ‘a is the wife of b’, then which of the following relationship means ‘r is the son of p’ ? [ RRB NTPC 29/12/2020 (Morning)](a) p # q $ r(b) p $ q # r(c) p * q * r(d) p * q # rCorrect Answer: (b) p $ q # rSolution:From the given options: (p $ q # r) satisfies the relationship. P is the wife of q and q is the father of ⇒ r. i.e r is the son of p.Submit Quiz« Previous12345Next »