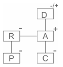
Blood Relation – Railway Reasoning part – 3Total Questions: 501. If R is the mother of girl P and the sister of A, and A is the only son of D and the father of girl C, then how is P related to A ? [RRB NTPC 02/03/2021 (Morning)](a) Sister(b) Daughter(c) Mother’s brother(d) Sister’s daughterCorrect Answer: (d) Sister’s daughterSolution: P is the sister's daughter of A.2. Pointing to a picture, Deepak, who is the only son of his parents, told Abhishek that the woman in the picture was the only daughter-in-law of his sister’s mother. How was the woman in the picture related to Deepak ? [RRB NTPC 02/03/2021 (Evening)](a) Mother’s Sister(b) Wife’s Sister(c) Wife(d) MotherCorrect Answer: (c) WifeSolution:3. In the following relationship chart A → B means A is the mother of (or any other relationship) of B. Now using the chart, find out how is F related to E. [RRB NTPC 04/03/2021 (Evening)](a) Spouse(b) Daughter(c) Father(d) SiblingCorrect Answer: (a) SpouseSolution:4. Pushpa introduced her friends to Sujita and Radha by saying, “Radha’s maternal grandmother’s only son-in-law is Sujeeta’s father”. From the options given below, how is Sujeeta related to Radha ? [RRB NTPC 05/03/2021 (Evening)](a) Mother - in - law(b) Sibling(c) Mother(d) Maternal auntCorrect Answer: (b) SiblingSolution:5. Fatima and Abdul are siblings. Fatima’s father Aziz is the only son of his parents. Ansari is the paternal grandfather of Abdul. Sara is the daughter -in - law of Ansari .How is Sara related to Aziz? [RRB NTPC 05/03/2021 (Evening)](a) Mother(b) Wife(c) Aunt(d) SisterCorrect Answer: (b) WifeSolution:6. You were traveling in a bus when a lady you met told you, “You are the father of my eldest daughter's maternal aunt’s youngest sister”.How are you related to that lady ? [RRB NTPC 07/03/2021 (Morning)](a) Cousin(b) Uncle(c) Brother(d) FatherCorrect Answer: (d) FatherSolution:7. If A is the father of B, who is the father of C, and D is the only son of C and C’s wife is F, then how is D related to A ? [RRB NTPC 07/03/2021 (Evening)](a) Great- grandson(b) Son(c) Grand-daughter(d) FatherCorrect Answer: (a) Great- grandsonSolution:From the given information we can draw the following diagram :8. R is the father of P and brother of K whereas K is the daughter of D and sister-in -law of S. If S is the mother of P, then what is the relationship between S and R ? [RRB NTPC 07/03/2021 (Evening)](a) Grandfather and Grand-daughter(b) Wife and Husband(c) Father and Daughter(d) Sister and BrotherCorrect Answer: (b) Wife and HusbandSolution:From the given information we can draw the following diagram : So, the relationship between S and R is Wife and Husband.9. Sitesh and Suresh are maternal cousins. The mother of Suresh, Gita has a daughter Samiksha. Anjali is Samikha’s paternal aunt. How is Anjali related to Gita ? [RRB NTPC 08/03/2021 (Morning)](a) Husband’s sister(b) Mother’s sister(c) Brother’s wife(d) Paternal AuntCorrect Answer: (a) Husband’s sisterSolution:From the given information we can draw the following diagram :10. Eight people, namely A, B, C, D, E, F, G and H are sitting around a dining table. D is the brother of E, G is the wife of F. B is A’s wife. C is married to H. A is C’s brother. F is the father-in-law of B. C is the father of his only son D. How is A related to D? [RRB NTPC 08/03/2021 (Morning)](a) Son(b) Mother’s father(c) Paternal Uncle(d) FatherCorrect Answer: (c) Paternal UncleSolution:From the given information we can draw the following diagram :Submit Quiz12345Next »