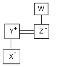
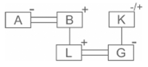
Blood Relation – Railway Reasoning part – 4Total Questions: 5221. Pointing to a lady, a boy said, "She is the mother of my mother's husband's brother". How is the lady's husband related to the boy ? [RPF S.I. 19/12/2018 (Evening)](a) Grandfather(b) father-in-law(c) father(d) uncleCorrect Answer: (a) GrandfatherSolution:From the above diagram it is clearly seen that the lady’s husband is Grandfather of the boy.22. Read the following statements and answer the question based on them. [RPF S.I. 24/12/2018 (Morning)]A@B means A is the mother of B A#B means A is the father of B A $ B means A is the brother of B A%B means A is sister of B How is P related to S according to the equation P$Q@R$S?(a) Aunt(b) maternal uncle(c) cousin(d) fatherCorrect Answer: (b) maternal uncleSolution:From the above diagram it is clearly seen that P is the maternal uncle of S23. Pointing to a boy, a woman said, "He is the brother of the daughter of my brother's wife." How is that boy related to that woman ? [RPF S.I. 24/12/2018 (Morning)](a) Nephew(b) Niece(c) son(d) CousinCorrect Answer: (a) NephewSolution:From the above diagram it is clearly seen that the Boy is the Nephew of the woman.24. Read the following logic and answer the given question. [RPF S.I. 05/01/2019 (Morning)]A @ B means A is the husband of B. A # B means A is the wife of B. A $ B means A is the son of B. A% B means A is the daughter of B. In the equation X% Y @Z% W, how is the relation to the father of X related to W? (a) Son-in-law(b) uncle(c) Father(d) NephewCorrect Answer: (a) Son-in-lawSolution: From the above diagram it is clearly seen that X’s father Y is the son - in - law of W.25. Kirti's grandmother is the mother of Vivek's mother. Venu is the father of Kirti. How is mother of kirti related to vivek’s mother ? [RPF S.I. 05/01/2019 (Morning)](a) Grandmother(b) sister in law(c) Mother(d) auntCorrect Answer: (b) sister in lawSolution:From the above diagram it is clearly seen that the mother of kirti is sister in law of vivek’s mother.26. 'L' is the son-in-law of 'K' whose only daughter is G. 'L' is the son of 'B', whose wife is A How is A related to G? [RPF S.I. 06/01/2019 (Morning)](a) Daughter in law(b) Daughter(c) Niece(d) Mother- in- lawCorrect Answer: (d) Mother- in- lawSolution:From the above diagram it is clearly seen that A is the Mother - In - law of G.27. Pointing to a boy, one man said. "He is the only son of the husband of the mother of my son's sister." How is the man related to the boy ? [RPF S.I. 06/01/2019 (Morning)](a) Father(b) Dada(c) cousin(d) UncleCorrect Answer: (a) FatherSolution:From the above diagram it is clearly seen that the man is the father of the boy28. A is the son-in-law of B, whose son is D. D is the brother of C, whose only daughter is E. How is C related to A? [RPF S.I. 10/01/2019 (Morning)](a) Sister in law(b) Husband(c) Cousin(d) WifeCorrect Answer: (d) WifeSolution:29. Read the following logic and answer the given question. [RPF S.I. 10/01/2019 (Morning)]A + B means A is mother of B. A – B means A is father of B. A * B means A is sister of B. A / B means A is brother of B. In the equation ‘W + X / Y – Z’, how is X's wife related to Z ?(a) Cousin(b) Aunt(c) Grandmother(d) MotherCorrect Answer: (b) AuntSolution:30. A is the grandmother of D who is the daughter of E. C is the brother of B whose sister is E. How is D related to C? [RPF S.I. 10/01/2019 (Afternoon)](a) Niece(b) Daughter(c) Sister(d) CousinCorrect Answer: (a) NieceSolution:Submit Quiz« Previous123456Next »