Blood Relation ( SSC CPO 2023 Tier – 1 )

Total Questions: 17

11. A @ B means 'A is the husband of B [S.S.C CPO 04/10/2023 (3rd Shift)]

A & B means 'A is the mother of B'

A # B means 'A is the daughter of B'

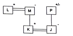
If L @ M & K @ J # P, then how is J related to L?

Correct Answer: (b) Son's wife
Solution:

J is the wife of L's son.

12. "Z @ A" means "Z is the son of A", [S.S.C CPO 05/10/2023 (1st Shift)]

"Z * A" means "Z is the brother of A",

"Z × A" means "Z is the father of A",

"Z # A" means "Z is sister of A",

"Z $ A" means "Z is the daughter of A",

"Z = A" means "Z is the mother of A".

How is A related to Y in the following expression?

A * S = J @ M × Y

Correct Answer: (d) A is the brother of Y's mother.
Solution:

Hence, A is brother of Y's mother.

13. F is the brother of J. E is the sister of D. K is the sister of L. D is the son of L. J is the father of E. How is D related to F? [S.S.C CPO 05/10/2023 (1st Shift)]

Correct Answer: (b) Brother's daughter
Solution:

D is the Brother's son of F.

14. A @ B means 'A is the husband of B' [S.S.C CPO 05/10/2023 (2nd Shift)]

A & B means 'A is the mother of B'

A # B means 'A is the daughter of B'

If J # L @ Y & K @ Z, then how is J related to Z?

Correct Answer: (a) Husband's sister
Solution:

J is the Husband's sister of Z.

15. 'A # B' means 'A is the brother of B'. [S.S.C CPO 05/10/2023 (2nd Shift)]

A * B' means 'A is the wife of B'.

A $ B' means 'A is the daughter of B

A = B' means 'A is the father of B.

If P * V # D $ B = Z, then how is B related to P?

Correct Answer: (d) Husband's father
Solution:

B is the Husband's father of P.

16. Q + J means "Q is the Husband of J [S.S.C CPO 05/10/2023 (3rd Shift)]

Q – J means "Q is the Father of J"

Q × J means "Q is the Mother of J"

Q * J means "Q is the Daughter of J"

If D * V + B × U, how is D related to U?

Correct Answer: (b) Sister
Solution:

D is the sister of U.

17. 'T + U' means 'T is the mother of U', [S.S.C CPO 05/10/2023 (3rd Shift)]

T – U means 'T is the father of U'.

T $ U' means 'T is the husband of U.

'T # U' means 'T is the daughter of U'.

IF A # C $ V + X, then how is A related to X?

Correct Answer: (b) Sister
Solution:

A is the sister of X.