Blood Relation (Variety Questions)

 

Total Questions: 23

1. Q is the mother of R. P is the husband of Q. S is the brother of R. How is P related to S? [S.S.C CGL Tier II 26/10/2023]

Correct Answer: (a) Father
Solution:

P is the father of S.

Hence, "Father" is the correct anwer.

2. ' A = B' means 'A is the father of B. [S.S.C CPO 03/10/2023 (1st Shift)]

'A $ B' means 'A is the sister of B'.

A * B' means 'A is the mother of B'

'A ? B' means 'A is the son of B'

If M ? C $ J * Z, then how is J related to M.

Correct Answer: (c) Mother's sister
Solution:

J is the mother's sister of M.

Hence, "Mother's sister" is the correct answer

3. N is the brother of X. X is the wife of M. S is the daughter of M. K is the brother of S. P is the mother of N. How is K related to P? [S.S.C CHSL 17/08/2023 (4th Shift)]

Correct Answer: (b) Daughter's son
Solution:

K is the daughter's son of P

4. In a certain code language, [S.S.C CHSL, 08/08/2023 (4th Shift)]

"W + V means 'W is the sister of V',

W # V' means 'W is the husband of V',

W $ V' means 'W is the daughter of V',

W % V' means W is the mother of V',

W @ V means 'W is the brother of V

Based on the above, which of the following expressions denotes that 'Y' is the wife of Z ?

Correct Answer: (d) Y % P + K @ R $ Z
Solution:

(d) By going through the options, option d is correct

5. Pointing towards a photo, Mahesh said, "She is the daughter of the only son of my grandfather." How is the girl in the photo related to Mahesh ? [S.S.C CHSL 03/08/2023 (1st Shift)]

Correct Answer: (a) Sister
Solution:

The girl in the photo is the sister of Mahesh.

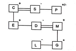
6. L is the sister of G. G is the son of M. M is married to D. D is the sister of E. E is the son of C. C is married to S. S is the sister of P. How is L related to E ? [S.S.C CHSL 02/08/2023 (1st Shift)]

Correct Answer: (c) Sister's daughter
Solution:

L is Sister's daughter of E.

7. A family got split and the children of R were left with R's maternal grandfather's only granddaughter's father. How is the person with whom the children are left with related to R ? [S.S.C CGL 25/07/2023 (3rd shift)]

Correct Answer: (d) R's father
Solution:

The person with whom the children are left is father of R.

8. A family consisting of D, P., W, Y and M is travelling to meet one another. W is travelling with his daughters, D and P. M is travelling with his/her maternal grandmother, Y. D is the mother of M. How is Y related to P? [S.S.C CGL 18/07/2023 (3rd shift)]

Correct Answer: (b) Mother
Solution:

Y is the mother of P.

9. Pointing to a man seen in the picture, Preeti said, "He is the son of my husband's father-in-law, Gopal's only daughter. How is the person in the picture related to Preeti? [Graduate Level 27/06/2023 (Shift-4)]

Correct Answer: (a) Son
Solution:

He is the son of preeti.

10. Manisha's sister Sakshi is the wife of Subham. Subham is the brother of Darshan. Akash, the son of Manisha, has a sister Rekha who is the daughter of Darshan. Rekha's father Darshan's mother is Saloni. How is Saloni related to Sakshi? [S.S.C CHSL 16/03/2023 (4th Shift)]

Correct Answer: (c) Mother-in-law
Solution:

Saloni is Sakshi's mother-in-law