CAPF (AC) 2024 (Paper-1) (Questions 1-50)

Total Questions: 50

41. Which of the following processes is/are part of the Rock Cycle?

1. Lithification

2. Metamorphism

3. Solidification

Select the answer using the code given below:

Correct Answer: (d) 1, 2 and 3
Solution:

Lithification, metamorphism, and solidification are all integral parts of this cycle. These processes, along with others like weathering and erosion, form a continuous cycle that shapes the Earth's crust over geological timescales.

  • Lithification is the process by which sediments are compacted and cemented to form sedimentary rocks.
  • Metamorphism involves the transformation of existing rocks due to heat and pressure without melting.
  • Solidification occurs when molten rock (magma or lava) cools and crystallizes to form igneous rocks.

42. Consider the following statements regarding the temperature of the Earth's surface:

1. The temperature of a surface is determined by net radiation

2. Net radiation produces a radiant energy flow that can heat or cool a surface

3. Net radiation balance is usually positive during the daytime during night time

4. Soil surface loses energy as temperature increases during the daytime

Which of the statements given above are correct?

Correct Answer: (c) 1, 2 and 3 only
Solution:

The temperature of the Earth's surface is determined by net radiation, which is the balance between incoming and outgoing radiation. This net radiation produces a radiant energy flow that can heat or cool a surface, depending on whether the surface is gaining or losing energy.

During the daytime, the net radiation balance is typically positive as the Earth receives more solar radiation than it emits, leading to surface warming. Conversely, at night, the balance usually becomes negative as the Earth continues to emit radiation without receiving solar input, resulting in cooling. As the temperature rises, the soil surface gains energy.

43. Consider the following statements:

1. Black soil is considered suitable for growing rain-fed crops

2. Black soil can retain moisture for a prolonged period, aiding crops to survive even in dry seasons

With regard to the statements given above which of the following is/are correct?

Correct Answer: (a) Both the statements are correct and statement 2 is the correct explanation of statement 1
Solution:

Black Soil

  • These soils are locally known as the 'Regur Soil' or the 'Black Cotton Soil'. These soils are famous for the cultivation of cotton.
  • These are found in the Deccan trap region. Black soil covers most of the Deccan Plateau which include parts of Maharashtra, Madhya Pradesh, Gujarat, Andhra Pradesh and some parts of Tamil Nadu.
  • Black cotton soil (regur soil) is highly argillaceous i.e. clayey. It is deep and impermeable and thus has high water retention capacity.
  • These soils are rich in minerals and known for their fertility.
  • These soils swell and become sticky when wet and develop deep wide cracks when dry. This helps in self-aeration, which leads to the absorption of nitrogen from the atmosphere. Thus, there occurs a kind of self ploughing'. This aeration and oxidisation to deep levels contribute to the maintenance of the fertility of these soils.
  • Due to slow absorption and loss of moisture, the black soil retains the moisture for a very long time, which helps the crops, especially, the rain-fed ones, to sustain even during the dry season.

44. Which one among the following countries is NOT a part of the Arabian Peninsula?

Correct Answer: (c) Libya
Solution:

Geographically, the Arabian Peninsula includes Bahrain, Kuwait, Oman, Qatar, Saudi Arabia, the United Arab Emirates (UAE) and Yemen, as well as southern Iraq and Jordan.

Arabian Peninsula is a peninsula of Western Asia, it is situated in the Northeast of Africa on the Arabian plate. Being the largest peninsula on the earth, it features an area of 1,250,000 square miles.

  • The peninsula consists of Yemen, Oman, Qatar, Bahrain, Kuwait, Saudi Arabia, UAE, and parts of Jordan and Iraq.
  • The peninsula is believed to have formed by the drifting of the Red Sea. Hence, it is bordered by the Red Sea on the West and the Southwest, the Persian Gulf to the Northeast, and the Indian Ocean to the Southeast. It is connected to the Levant in the North.
  • Largely unsuitable for agricultural activities, the peninsula holds geopolitical significance owing to its vast resources of oil and natural gas.

45. With reference to 'South Coast of Australia' which of the following statements is/are correct?

1. It is situated along the Indian Ocean

2. It experiences rain during its winter months of December and January

Select the answer using the code given below:

Correct Answer: (d) Neither 1 nor 2
Solution:

Australia is surrounded by three oceans: the Southern Ocean to the south, the Indian Ocean to the west, and the Pacific Ocean to the east.

Most rainfall in the southern districts occurs during the winter months of May, June, and July, when the sub-tropical high-pressure belt shifts northward over the Australian continent.

46. The remainder, when 1 + (1 × 2) + (1 × 2 × 3) + .... +(1 × 2 × 3 .... × 500) is divided by 8, is:

Correct Answer: (a) 1
Solution:

47. The angle (in degrees) made by a sector having area one-sixth of the area of a semicircle is:

Correct Answer: (b) 30°
Solution:

Angle made by Semicircle = 180°

Angle made by sector Laving area = 180°/6

One-sixth area of semicircle = 30°

48. Which one of the following is the average of first five multiples of each of the numbers from 11, 12, 13, ..., 20?

Correct Answer: (d) 46.5
Solution:

Sum of first 5 multiple of 11= 11 × 1 + 11 × 2 +... + 11 + 5

= 11(1 + 2 + 3 + 4 + 5)

Sum of first 5 multiple of 12 = 12(1 + 2 + 3 + 4 + 5)

Sum of first 5 multiple of 13 = 13(1 + 2 + 3 + 4 + 5)

∴ Sum of first 5 multiple of numbers 11 to 20

49. Which of the following statements is/are correct?

1. The average of four numbers 10, 15, 20 and 25 is 17.5

2. If a, b and c are three different natural numbers such that a+b+c = abc, then the average of a, b and c is 3.

Select the answer using the code given below:

Correct Answer: (a) 1 only
Solution:

(i) Average = (10+15+20+25)/4 = 17.5  [True]

(ii) Average = (a+b+c)/3 = 3 [Given]

∴ a + b + c = 9 = abc [Given]

Now, Product of 3 different natural number = 9 (odd number only when all three numbers are odd numbers)

Let (a, b, c) = (1, 3, 5)

Now, abc = 15 ≠ 9.

Hence, (ii) is not correct.

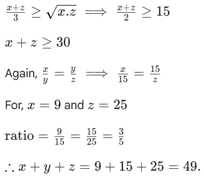
50. The ratio of present ages (in years) of X to Y is equal to the ratio of present ages (in years) of Y to Z. If the present age of Y is 15 years, then which of the following can be the sum of the ages (in years) of X, Y and Z?

Correct Answer: (c) 49
Solution: