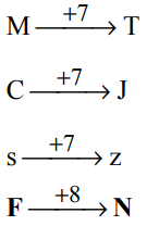
CLASSIFICATION (General Mental Ability) UPSC EPFO Part-2Total Questions: 2011. Finding the "odd one out" among four words(a) ABJNM(b) QRTUZ(c) IXYOQ(d) WFGOPCorrect Answer: (c) IXYOQSolution:Except in letter group IXYOQ in all others there is only one Vowel.12. Finding the "odd one out" among four words(a) AbcdE(b) IfghO(c) ApqrL(d) UlmnECorrect Answer: (c) ApqrLSolution:In the letter group IXYOQ, there are two Vowels. 62. (c) Except in A p q r L, in all other the first and the last letters given in Capital are Vowels.13. Finding the "odd one out" among four words(a) Man = 13114(b) Ram = 18113(c) Jug = 10217(d) Hub = 82110Correct Answer: (d) Hub = 82110Solution:14. Finding the "odd one out" among four words(a) FhjL(b) PrtV(c) KnpR(d) CeglCorrect Answer: (c) KnpRSolution:15. Finding the "odd one out" among four words(a) dcba(b) zyxw(c) srpq(d) hgfeCorrect Answer: (c) srpqSolution:16. Finding the "odd one out" among four words(a) mmm qqq ttt(b) kkk ooo sss(c) ccc ggg kkk(d) bbb fff jjjCorrect Answer: (a) mmm qqq tttSolution:17. Finding the "odd one out" among four words(a) SWYBE(b) HKNQT(c) QTWZC(d) CFILOCorrect Answer: (a) SWYBESolution:18. Finding the "odd one out" among four words(a) ECA(b) GIK(c) QOM(d) WUSCorrect Answer: (b) GIKSolution:In other options the gap between letters is equal.19. Finding the "odd one out" among four words(a) LNPR(b) HJLN(c) SUVX(d) BDFHCorrect Answer: (c) SUVXSolution:20. Finding the "odd one out" among four words(a) MT(b) CJ(c) SZ(d) FNCorrect Answer: (d) FNSolution:Submit Quiz« Previous12