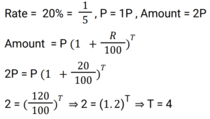
Compound Interest (Railway Maths) (Part – III)Total Questions: 5031. A sum of Rs. 400 would become Rs. 441 after 2 years at r% p.a. Compound interest. Find the value of r. [RRB NTPC 07/04/2021 (Morning) ](a) 6%(b) 5%(c) 7%(d) 8%Correct Answer: (b) 5%Solution:32. Find the sum for which the difference in the compound interest compounded annually and the simple interest for 3 years at 5% p.a. is Rs. 244. [RRB NTPC 08/04/2021 (Evening)](a) Rs. 32,000(b) Rs. 31,500(c) Rs. 35,000(d) Rs. 32,250Correct Answer: (a) Rs. 32,000Solution:33. Find the compound interest on Rs. 5,000 at a rate of 6% per annum for 3 years, compounded annually [correct to the nearest integer]. [RRB NTPC 23/07/2021 (Morning)](a) Rs. 955(b) Rs. 618(c) Rs. 900(d) Rs. 956Correct Answer: (a) Rs. 955Solution:34. The difference between simple interest and compound interest on Rs. 1,00,000 for 18 months at 12% annum reckoned half yearly is: [RRB NTPC 24/07/2021 (Evening)](a) Rs. 11,016(b) Rs. 110.16(c) Rs. 1,101.6(d) Rs. 1.11016Correct Answer: (c) Rs. 1,101.6Solution:35. At what rate of compound interest per annum will a sum of Rs. 1,250 become Rs. 1,488.77 in 3 years? [RRB NTPC 26/07/2021 (Evening)](a) 6.5%(b) 7%(c) 7.5%(d) 6%Correct Answer: (d) 6%Solution:36. The least number of years in which a sum of money invested at 20% compound interest will become more than its double is : [RRB NTPC 31/07/2021 (Morning) ](a) 6(b) 3(c) 4(d) 5Correct Answer: (c) 4Solution:37. Find the Compound Interest on a sum of Rs.1000 at the rate of 10% per annum for 1.5 years when interest is compounded half-yearly. [RRB JE 22/05/2019 (Afternoon)](a) Rs.160.55(b) Rs.167.36(c) Rs.150.25(d) Rs.157.63Correct Answer: (d) Rs.157.63Solution:38. The difference between Compound Interest and Simple Interest on a certain sum for 2 years at 12.5% rate is Rs.45. What is the sum? [RRB JE 22/05/2019 (Afternoon)](a) Rs. 2440(b) Rs. 2000(c) Rs. 2880(d) Rs. 3000Correct Answer: (c) Rs. 2880Solution:39. On a certain sum of money, the Compound Interest for 2 years is Rs.309 and the Simple Interest is Rs.300. Find the rate of interest per annum. [RRB JE 22/05/2019 (Evening)](a) 6%(b) 8%(c) 9%(d) 7%Correct Answer: (a) 6%Solution:40. On what principal will the difference between Compound Interest and Simple Interest at 10% rate in 3 years be equal to Rs.620? [RRB JE 24/05/2019 (Evening)](a) Rs. 24000(b) Rs. 25000(c) Rs. 20000(d) Rs. 18000Correct Answer: (c) Rs. 20000Solution:Submit Quiz« Previous12345Next »