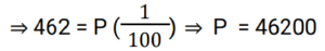
Compound Interest (Railway Maths) (Part – IV)Total Questions: 231. In what time will Rs.1000 become Rs.1331 at 10% per annum compounded annually ? [RRB JE 27/06/2019 (Morning) ](a) 4 years(b) 3 years(c) 2 years(d) 5 yearsCorrect Answer: (b) 3 yearsSolution:2. The Simple Interest on Rs. 'x' for 3 years at 8% equals half the Compound Interest on Rs.4000 at 10% for 2 years. Find 'x'. [RRB JE 28/06/2019 (Evening) ](a) Rs.1750(b) Rs.6000(c) Rs.1520(d) Rs.1400Correct Answer: (a) Rs.1750Solution:3. For a certain amount, compound interest for 2nd year is Rs. 800 and Rs 840 for 3rd year. The rate of interest is : [ALP Tier II 21/01/2019 (Evening)](a) 6%(b) 5%(c) 7%(d) 4%Correct Answer: (b) 5%Solution:4. An amount of ₹ 10000 is deposited in a bank which offers compound interest at 20% per annum. How much will be in the bank after 2 years ? [ALP Tier II 21/01/2019 (Evening)](a) ₹12000(b) ₹13600(c) ₹14400(d) ₹8000Correct Answer: (c) ₹14400Solution:5. The amount received at compound interest on a certain principal at the end of first and second year is ₹ 1,350 and ₹ 1,458 respectively, then what is the rate of interest ? [ALP Tier II 23/01/2019 (Morning)](a) 12%(b) 8%(c) 15%(d) 10%Correct Answer: (b) 8%Solution:6. If the compound interest received on a certain sum in the first year is ₹ 1,440, then what will be the compound interest on the same principal for the second year at 10% interest ? [ALP Tier II 23/01/2019 (Afternoon) ](a) ₹1,584(b) ₹1,554(c) ₹1,512(d) ₹1,540Correct Answer: (a) ₹1,584Solution:7. With an annual compound interest rate of 15% per annum (in rupees), the amount received After a period of 2 years on a sum of 18000 rupees is :- [RPF Constable 17/01/2019 (Morning) ](a) 24805(b) 23805(c) 25805(d) 22805Correct Answer: (b) 23805Solution:8. The difference between Compound Interest and Simple Interest on a certain sum after two years at 10% p.a. is Rs.462. Find the sum of money invested. [RPF Constable 18/01/2019 (Morning)](a) Rs.42,600(b) Rs.26,400(c) Rs.24,600(d) Rs.46,200Correct Answer: (d) Rs.46,200Solution:9. Find the amount, when a sum of 32000 rupees is invested at the rate of 15% per annum compounded annually for a period of 2 years. [RPF Constable 18/01/2019 (Afternoon)](a) 43320(b) 45320(c) 44320(d) 42320Correct Answer: (d) 42320Solution:10. The difference between the compound interest and the simple interest on a certain sum at the rate of 10% per annum after 2 years is Rs.523. Find the amount invested. [RPF Constable 19/01/2019 (Morning)](a) Rupee. 52300(b) Rupee. 42300(c) Rupee. 62300(d) Rupee. 72300Correct Answer: (a) Rupee. 52300Solution:Submit Quiz123Next »