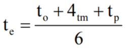
Construction Management, Accounts & Enterpreneurship Devlopment (General Engineering) (SSC JE)Total Questions: 5341. In a CPM network the activity in non critical if– [RRB JE 30.08.2015 (Shift-III) ](a) EST=LST & EFT=LFT(b) EST<LST & EFT<LFT(c) EST>LST & EFT>LFT(d) ESTLFTCorrect Answer: (b) EST<LST & EFT<LFTSolution:Activities along the non-critical path are called non-critical activities. A non-critical activities has a leeway or extra time. This extra time is called float in CPM system and slack in PERT system.42. In the network shown below, the critical path is: [RRB JE(Patna/Muzaffarpur/Chennai/Ahmedabad/Bangalore) 14.12.2014 ] (The number on the arrow show the duration of the activity)(a) 1– 2– 3– 4–5–6(b) 1–2–4–5–6(c) 1–2–3–5–6(d) 1–2–4–3–5–6Correct Answer: (a) 1– 2– 3– 4–5–6Solution:43. Choose the statement which is correct: [RRB S.S.E (Bilaspur/Secunderabad) 21.12.2014 ](a) PERT is event oriented(b) PERT is not event oriented(c) CPM is event oriented(d) CPM is not event orientedCorrect Answer: (a) PERT is event orientedSolution:PERT is probabilistic in nature and it is event based. It is used for non-repetitive type of projects. CPM is activity based and time for completion is known precisely.44. If tₒ, tₚ and tₘ are the optimistic; most likely and pessimistic time estimates of an activity respective; then the expected time 't' of the activity will be: [RRB S.S.E (Bilaspur/Secunderabad) 21.12.2014 / RRB JE (Bilaspur/Kolkata/Mumbai/Guwahati)- 14.12.2014](a)(b)(c)(d)Correct Answer: (d)Solution:In PERT analysis the estimation of time estimate is done by probabilistic approach & expected time is calculated by weighted avg. method : tₒ → optimistic time tₚ → pessimistic time tₘ → most likely time45. The method which follows deterministic approach is [BPSC AE (GEN. ENGG.) 16.09.2018 ](a) CPM(b) PERT(c) both PERT and CPM(d) None of the aboveCorrect Answer: (a) CPMSolution:Critical Path Method (CPM)– • Deterministic approach • Single time estimate • Time estimate • Activity oriented technique • For construction projects Programme Evaluation & Review Technique (PERT)– • Event oriented technique • For R&D programs • Three time estimate • Probabilistic time46. Direct cost of an activity [BPSC AE (GEN. ENGG.) 16.09.2018 ](a) increases with increase in duration(b) decreases with increase in duration(c) remains same(d) Nothing can be saidCorrect Answer: (b) decreases with increase in durationSolution:Direct cost of an activity decreases with increase in duration. Ex. cost of material, labour etc. Those expenses which are directly chargeable and can be identified by activities.47. In case of PERT, if most pessimistic, optimistic and most likely time are 10, 2 and 8 days respectively, then the expected duration and variance are [BPSC AE (GEN. ENGG.) 16.09.2018 ](a) 8 and 4/3(b) 20/3 and 16/9(c) 7.33 and 16/9(d) 7.67 and 20/3Correct Answer: (c) 7.33 and 16/9Solution: 48. In case of cash-flow monitoring, it is recommended to draw [BPSC AE (GEN. ENGG.) 16.09.2018 ](a) histogram(b) cumulative diagram(c) bar chart(d) homographCorrect Answer: (b) cumulative diagramSolution:In case of cash-flow monitoring, it is recommended to draw cumulative diagram. • CFM is a financial performance monitoring technique that relies entirely upon the analysis of cash flow.49. In PERT, if the length of two paths are equal, then critical path is decided on the basis of [BPSC AE (GEN. ENGG.) 07.08.2019 ](a) standard deviation(b) early start time calculation(c) early finish time calculation(d) total floatCorrect Answer: (a) standard deviationSolution:In PERT, when the length of two paths are equal then critical path is decided on the basis of standard deviation. Standard deviation–It is used to calculate the variance of the critical path. 50. The primary need for automation on construction sites is [MPSC AE PRE -09.07.2017](a) Fierce competition among construction contractors(b) Concerns for short term profits(c) Protect humans from safety and health hazards(d) Easy availability of computer technologyCorrect Answer: (c) Protect humans from safety and health hazardsSolution:The primary need for automation on construction sites is protect humans from safety and health hazards.Submit Quiz« Previous123456Next »