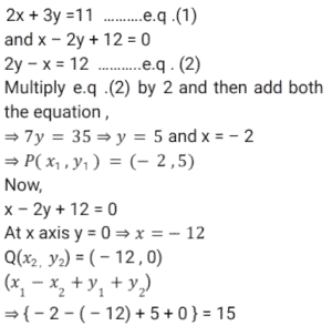
Coordinate Geometry (SSC)Total Questions: 3231. The graphs of the equations 2x + 3y = 11 and x – 2y + 12 = 0 intersects at P(𝑥₁, 𝑦₁) and the graph of the equation x - 2y + 12 = 0 intersects the x-axis at Q( 𝑥₂, 𝑦₂). What is the value (𝑥₁ - 𝑥₂ + 𝑦₁ + 𝑦₂) ? [SSC CGL Tier II (12/09/2019)](a) 13(b) - 11(c) 15(d) -9Correct Answer: (c) 15Solution:32. The graph of the equations 5x – 2y + 1 = 0 and 4y – 3x + 5 = 0, intersect at the point P(α, β). What is the value of (2α − 3β) ? [SSC CGL Tier II (13/09/2019)](a) 4(b) 6(c) - 4(d) - 3Correct Answer: (a) 4Solution:Submit Quiz« Previous1234