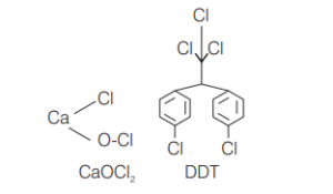
English (Part – B) (NDA SOLVED PAPER 2020 – II) (101 to 150)Total Questions: 5041. The Sun appears reddish during sunrise and sunset. The phenomenon in optics which is responsible for this appearance of the Sun is(a) Reflection(b) Total internal reflection(c) Scattering(d) InterferenceCorrect Answer: (c) ScatteringSolution:The Sun appears reddish during sunrise and sunset due to scattering of light.42. A lens has a power of +2·0 Dioptre. Which one of the following statements about the lens is true?(a) The lens is concave and has a focal length of 0.5 m(b) The lens is convex and has a focal length of 2.0 m(c) The lens is convex and has a focal length of 0.5 m(d)The lens is concave and has a focal length of 2.0 mCorrect Answer: (c) The lens is convex and has a focal length of 0.5 mSolution:43. At nearly 70°C, sodium bicarbonate shows the property of gradually decomposing, which makes it usable in bakery products. The product of decomposition responsible for this use of sodium bicarbonate is(a) Carbon dioxide(b) Hydrogen(c) Water vapour(d) OxygenCorrect Answer: (a) Carbon dioxideSolution:44. Number of molecules of water of crystallisation in copper sulphate, sodium carbonate and gypsum are(a) 5, 10 and 2 respectively(b) 10, 2 and 5 respectively(c) 5, 2 and 10 respectively(d) 2, 5 and 10 respectivelyCorrect Answer: (a) 5, 10 and 2 respectivelySolution:Number of molecules of water of crystallisation of copper sulphate, sodium carbonate and Gypsum are 5, 10 and 2 respectively. Complete chemical formula are as follows 45. Which one of the following is the correct sequence of change in colours when a turmeric stain on white clothes is scrubbed by soap and then washed with water?(a) Yellow-pink-blue(b) Yellow-reddish brown-yellow(c) Yellow-reddish brown-blue(d) Yellow-blue-pinkCorrect Answer: (b) Yellow-reddish brown-yellowSolution:When a turmeric stain appear on white clothes it becomes reddish brown when it come in contact with soap, which is basic in nature it turns yellow again when the cloth is washed with plenty of water46. Which one of the following statements regarding bleaching powder and DDT is correct?(a) Both are inorganic compounds(b) Both are organic compounds(c) Both contain chlorine(d) Both contain calciumCorrect Answer: (c) Both contain chlorineSolution:Both bleaching powder (CaOCl₂) and Dichloro Diphenyl Tricholoroethane (DDT) contain chlorine. Bleaching powder is inorganic compound, but DDT is an organic halogen compound. structures are as follows 47. Which one of the following is the best example of desiccant?(a) Silica gel(b) Polystyrene(c) Sodium chloride(d) Sodium carbonateCorrect Answer: (a) Silica gelSolution:Silica gel is the best example of desiccant. It is hygroscopic in nature. It absorbs water from the surrounding.48. Which one of the following was the first mineral acid discovered?(a) Sulphuric acid(b) Hydrochloric acid(c) Nitric acid(d) Phosphoric acidCorrect Answer: (a) Sulphuric acidSolution:Sulphuric acid (H₂SO₄) was the first mineral acid discovered49. The refractive index of fused quartz is 1·46 and that of sapphire is 1·77. If Vq is the speed of light in quartz and Vₛ is the speed of light in sapphire, then which one of the following relations is correct?(a)(b)(c)(d)Correct Answer: (a)Solution:50. In case of a concave mirror, if an object is kept between principal focus F and pole P of the mirror, then which one of the following statements about the image is not correct?(a) The image will be virtual(b) The image will be enlarged or magnified(c) The image will be formed at infinity(d) The image will be erectCorrect Answer: (c) The image will be formed at infinitySolution:If the object is placed between F and P of concave mirror, the image is formed behind the mirror. The image formed is virtual, erect and magnifiedSubmit Quiz« Previous12345