Fluid Mechanics (General Engineering) (SSC JE)

Total Questions: 50

31. Which of the following is the property of a fluid by virtue of which it offers resistance to flow of motion? [JSSC JE (GEN. ENGG)-2017 ]

Correct Answer: (c) Viscosity
Solution:

It is defined as the propety of fluid which offers resistance to the movement of one layer of fluid over another adjacent layer of fluid.

• It is due to cohesion between the molecules in case of liquids are due to momentum exchange betwee fluid layer in case of gases.

32. Mercury is used in barometers because [JSSC JE (GEN. ENGG)-2017 ]

Correct Answer: (d) it gives less height of column for high pressure
Solution:

Barometer–It is used to measure atmospheric pressure
• In apparatus mercury filled tube is inverted into the mercury container that is open to atmosphere.
• Mercury is used because it possess low vapour pressure and high density and gives less height of column.

33. Which of the following represents the point about which floating body starts oscillating when tilted by a small angle? [JSSC JE (GEN. ENGG)-2017 / JSSC JE (GEN. ENGG.)-23.10.2022 ]

or
The point of intersection between the axis of a floating body and a vertical line passing through the new centre of buoyancy obtained when the floating body is slightly tilled or it undergoes a small angular displacement (or angle of heel) θ is known as :

Correct Answer: (d) Metacenter
Solution:

The point of intersection between the axis of a floating body and a vertical line passing through the new centre of buoyancy obtained when the floating body is slightly tilled or it undergoes a small angular displacement θ is known as metacenter.

34. Which of the following is also known as dynamic head of fluid? [JSSC JE (GEN. ENGG)-2017 ]

Correct Answer: (b) Kinetic head
Solution:

35. When the Mach No. between _____ the flow supersonic flow [BPSC AE (GEN. ENGG.)-13.03.2022 ]

Correct Answer: (d) 1 and 6
Solution:

Mach Number–Mach number is the ratio of inertia force and elastic force.

36. If the depth of water in an channel is greater than critical depth, the flow is called [BPSC AE (GEN. ENGG.)-13.03.2022 ]

Correct Answer: (c) tranquil flow
Solution:

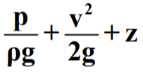
37. The term Z in total energy expression is [BPSC AE (GEN. ENGG.) 15.09.2018 ]

Correct Answer: (c) potential energy per unit weight
Solution:

38. Bernoulli's equation finds its application in [BPSC AE (GEN. ENGG.) 15.09.2018 ]

Correct Answer: (d) All of the above
Solution:

Application of Bernoulli's equation–
1. Venturimeter
2. Orifice meter
3. Nozzle meter
4. Elbow meter
5. Pitot tube
• It is used to measure velocity of fluid when section of the pipe is straight. 6. Pitot static tube/Prandtl tube.

39. Which one of the following is not a formula to find head loss due to friction in flow through pipes? [BPSC AE (GEN. ENGG.) 15.09.2018 ]

Correct Answer: (c) Lea formula
Solution:

Flow through pipes–
• Most of the pipe flow problems are turbulent in
nature
• When water flows through pipe loss in it head takes
place, which is due to following–
(a) Major loss (80-90%)
(b) Minor loss (10-20%)
→ Major loss
• Due to friction (80-90%) of total loss
• This loss is given by–
1. Darcy-Weisbach equation
2. Chezy's equation
3. Hazen-Williams formula
• The Hazen-Williams equation is an empirical relationship which relates the flow of water in a pipe with the physical properties of the pipe and the pressure drop caused by friction.
4. Manning's formula.

40. Drain valves/scour valves in a water distribution system are provided at [BPSC AE (GEN. ENGG.) 15.09.2018 ]

Correct Answer: (b) low-end points
Solution:

Drain valves–These are also called wash out valves, they are provided at all ends and depression of pipelines to drain out the waste water. To drain off all accumulated water in pipes, the drain valve should be located at the lower point of the pipes. Hence, in distribution pipes, drain valves are provided at lower point.