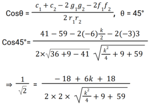
Geometry (Railway Maths) (Part – II)Total Questions: 501. The earth takes 24 h to rotate about its own axis. Through what angle will it turn in 5 h and 24 min? [NTPC CBT-I 09/02/2021 (Evening)](a) 80°(b) 81°(c) 82°(d) 79°Correct Answer: (b) 81°Solution:2. Find the degree measure of the angle subtended at the centre of a circle of radius 100 cm by an arc of length 22 cm. [NTPC CBT-I 11/02/2021 (Morning)](a) 2° 36′(b) 62° 36′(c) 12° 36′(d) 22° 36′Correct Answer: (c) 12° 36′Solution:3. If a, b and c are the sides of a triangle and a² + b² + c² = ab + bc + ca, then the triangle is: [NTPC CBT-I 16/02/2021 (Morning)](a) equilateral(b) right-angled(c) isosceles(d) obtuse-angledCorrect Answer: (a) equilateralSolution:It's possible in equilateral triangle In an equilateral triangle , all sides are equal to each other., (a = b = c)4. Two sides of a triangle are of lengths 4 cm and 10 cm. If the length of the third side is a cm, then … [NTPC CBT-I 17/02/2021 (Morning)](a) a > 5(b) 6 < a < 12(c) 6 < a < 14(d) a < 6Correct Answer: (c) 6 < a < 14Solution:Let the 3rd side = a Third side of the triangle lies 10 - 4 < a < 10 + 4 ⇒ 6 < a < 145. A boy walks along two adjacent sides of a rectangular field. If he walks along its diagonal, then he saves a distance equal to one-third of the larger side. Find the ratio of the larger side to the smaller side. [NTPC CBT-I 01/03/2021 (Evening)](a) 2 : 5(b) 3 : 5(c) 12 : 3(d) 12 : 5Correct Answer: (d) 12 : 5Solution:6. The angle between two circles x² + y² − 12x − 6y + 41 = 0 and x² + y² + kx + 6y − 59 = 0 is 45°. Find the value of k. [NTPC CBT-I 09/03/2021 (Evening)](a) ±3(b) ±4(c) 4(d) −4Correct Answer: (b) ±4Solution:7. In the figure, if the area of the shaded sector is 70% of the area of the entire circle, then the measure of x° is________. [NTPC CBT - I 01/04/2021 (Evening) ](a) 108°(b) 100°(c) 72°(d) 144°Correct Answer: (a) 108°Solution:100% = 360° 100 - 70% = 30% = 30 × 360°/ 100 = 108°8. A circle having centre C₁, radius r₁ = 5 cm is placed against a right angle. Another smaller circle having centre c₂, radius r₂ is also placed touching the sides of the angle and the bigger circle as shown in the figure. Find the radius, r₂ in cm, of the smaller circle. [NTPC CBT - I 03/04/2021 (Morning) ](a) 3(5 + 2√2)(b) 5(3 + 2√2)(c) 5(3 - 2√2)(d) 3(5 - 2√2)Correct Answer: (c) 5(3 - 2√2)Solution:9. The perimeters of two similar triangles Δ PQR and Δ XYZ are 48 cm and 24 cm respectively. If XY = 12 cm, then PQ is [NTPC CBT - I 03/04/2021 (Evening) ](a) 8 cm(b) 18 cm(c) 24 cm(d) 12 cmCorrect Answer: (c) 24 cmSolution:10. The length of the tangent drawn from a point Q to a circle is 40 cm and the distance of point Q from the center is 41 cm, then The radius of the circle will be_____cm. [ALP Tier II 21/01/2019 (Afternoon) ](a) 8(b) 7(c) 9(d) 10Correct Answer: (c) 9Solution:Submit Quiz12345Next »