Geometry (Railway Maths) (Part – VII)

Total Questions: 47

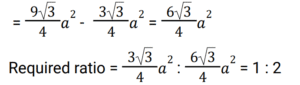
41. Three triangles are marked out of a bigger triangle at the three vertices such that each side of each of the smaller triangles is one-third as long as each corresponding side of the bigger triangle. The ratio of the area of the three small triangles taken together to that of the rest of the bigger triangle is? [RRB ALP 21/08/2018 (Morning) ]

Correct Answer: (c) 1 : 2
Solution:

42. The area of a rhombus is 24 m² and the length of one of its diagonals is 8 m. The length of each side of the rhombus will be: [RRB ALP 21/08/2018 (Evening)]

Correct Answer: (d) 5 m
Solution:

43. The base of a triangle is one-third of the base of a parallelogram having the same area as that of the triangle. The ratio of the corresponding heights of the triangle to the parallelogram will be: [RRB ALP 29/08/2018 (Morning)]

Correct Answer: (d) 6 : 1
Solution:

44. In ∆ABC, AB = 12 cm. ∠A is bisected internally to intersect BC at D. BD = 7 cm and DC = 8.75 cm. What is the length of CA? [RRB ALP 30/08/2018 (Afternoon)]

Correct Answer: (b) 15 cm
Solution:

45. If the ratio of the corresponding sides of two similar triangles is 2 : 3, then the ratio of their corresponding altitudes is: [RRB ALP 30/08/2018 (Evening) ]

Correct Answer: (a) 2 : 3
Solution:

From the properties of similar triangles, Ratio of the corresponding sides of the two triangles = ratio of its corresponding heights. So, ratio of their corresponding heights = 2 : 3

46. Five angles of a hexagon measure 116° each. What is the measure of the remaining angle ? [RRB ALP 31/08/2018 (Afternoon) ]

Correct Answer: (c) 140°
Solution:

Let the measure of the remaining angle be x° Sum of the interior angles of a regular polygon = (n - 2) × 180° Where, n is the number of sides of the polygon. Sum of all angles of the hexagon
= (6 - 2) × 180 = 720°
Now, 5 × 116 + x = 720
⇒ x + 580 = 720
⇒ x = 720 - 580 ⇒ x = 140°
So, the measure of the remaining angle = 140°

47. The length of on the side of a rhombus is 17 cm and one of the diagonals was 16 cm. Find the length of the other diagonal. [RRB ALP 31/08/2018 (Afternoon) ]

Correct Answer: (b) 30 cm
Solution: