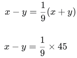
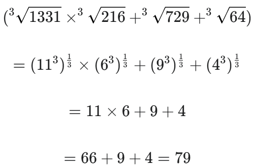
Haryana CET Exam, 05.11.2022 (Shift-I)Total Questions: 10031. 37% of 1500.05% of 1000 = ?(1) 55.5(2) 50(3) 55(4) 55.55Correct Answer: (2) 50Solution:37% of 150 - 0.05% of 100032. For short day plants which period is critical and must be continuous?(1) Semi dark period(2) Light period(3) Full light period(4) Dark periodCorrect Answer: (4) Dark periodSolution:In short day plants, the dark period is critical and so it must be continuous for a certain period.These plants are also called as long night plants.33. The change in total utility due to consumption of one additional unit of a commodity is known as(1) Average utility(2) Total utility(3) Initial utility(4) Marginal utilityCorrect Answer: (4) Marginal utilitySolution:Marginal Utility is the change in total utility due to the consumption of one additional unit of a commodity.In terms of economics, utility refers to the total satisfaction received from consuming a service or good.34. Which of the following cities has been declared as India's first water plus city under the Swachh Survekshan 2021?(1) Chandigarh(2) Indore(3) Gurugram(4) None of the aboveCorrect Answer: (2) IndoreSolution:Indore is India's first Water Plus City under Swachh Survekshan 2021.It is the cleanest city of India.A water plus city is the city that maintains the cleanliness in the rivers and drains under its administration.35. Which one of the following is not present in the compose mail page of Yahoo?(1) Content(2) Το(3) Cc(4) SubjectCorrect Answer: (1) ContentSolution:Content is not present in the composed mail page of yahoo.36. The decomposition of vegetable matter into compost is an example for(1) reduction reaction(2) endothermic reaction(3) exothermic reaction(4) decomposition reactionCorrect Answer: (3) exothermic reactionSolution:The decomposition of vegetable matter into compost is considered an exothermic reaction because this decomposition process, which is carried out by microbes, requires energy to break down of bonds of vegetables.As a result, energy is released in the form of light.37. What is the minimum number of cuts required to cut a cube into 210 pieces?(1) 15(2) 17(3) 16(4) 13Correct Answer: (1) 15Solution:For minimum number of cuts required to cut a cube into '210' pieces38. World Health Organisation (WHO) headquartered at(1) Delhi, India(2) Geneva, Switzerland(3) Rome, Italy(4) None of the aboveCorrect Answer: (2) Geneva, SwitzerlandSolution:The World Health Organization (WHO), the United Nations' specialized agency for Health was founded in 1948. Its headquarters are situated in Geneva, Switzerland.There are 194 Member States, 150 country offices, six regional offices.39. ____is a machine readable code in the form of a pattern of parallel vertical lines of varying widths.(1) Optical Mark Reader (OMR)(2) Optical Character Reader (OCR)(3) Magnetic Ink Character Recognition (MICR)(4) Bar codeCorrect Answer: (4) Bar codeSolution:Barcodes is a machine-readable code in the form of numbers and a patterns of parallel lines of varying widths.The barcode was invented by Norman Joseph Woodland and Bernard Silver and patented in the US in 1951.The invention was based on Morse code that was extended to thin and thick bars.40. Which farming is free chemicals?(1) Terrace farming(2) Modern farming(3) Inorganic farming(4) Organic farmingCorrect Answer: (4) Organic farmingSolution:Organic farming is recognized as a sustainable agriculture practice promoting use of organic/ bio inputs that takes care of environment and human wellbeing.Organic farming practices such as crop rotations, intercropping, cover crops, use of organic fertilizers and minimum tillage improves biodiversity, nutrient content and water retention capacity of the soil.Submit Quiz« Previous12345678910Next »