Haryana Constable Exam, (19-09-2021), (Shift-II)

Total Questions: 100

41. What is the population densi- ty of Haryana as per census 2011?

Correct Answer: (3) 573 persons per sq. km
Solution:National Capital Region area of Delhi has the highest population density of 11,297 per square kilometre.
  • The population density of Haryana is 573 per square kilometre.
  • Arunachal Pradesh has the lowest record of population density, having just 17 per square kilometre.

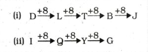
42. Select the correct answer from the choices given below to continue the series.

D L G T Y B G ?

Correct Answer: (1) J
Solution:

43. 19 is related to 361 in the same way 21 is related to

Correct Answer: (3) 441
Solution:

44. Which of the following Agricultural Universities of Haryana has developed the disease resistant Pea variety HFP-1428?

Correct Answer: (2) Chaudhary Charan Singh Haryana Agricultural University, Hisar
Solution:Chaudhary Charan Singh Haryana Agricultural University, Hisar, has developed a disease-resistant variety of Pea HFP-1428 for grain.
  • The specialty of this variety is that its crop is ready for ripening in a short period (about 123 days).
  • It is a dwarf variety with green leaflets and white flowers, and its grains are yellow-white (cream) colored medium size.

45. Sur Samman Award of Haryana is given in which field?

Correct Answer: (3) Literature
Solution:The Haryana government confers "Sur Samman," Lifetime Achievement Award on an eminent litterateur for outstanding contribution in the promotion of Hindi literature.
  • The award carried an amount of Rs one lakh besides a shawl and a memento.

46. Sections 39 and 40 of Code of Criminal Procedure, 1973 (Cr PC) make it mandatory to give information regarding commission of certain offences. Such information can be given to

Correct Answer: (3) Either to a Magistrate or to a police officer
Solution:Under Section 39 of the Code of Criminal Procedure (CRPC), every person who is aware of the commission of, or of the intention of any other person to commit, any offence can aid the Magistrate or police officer by giving such information.

47. The positions of the first and second digits in the number 94316875 are interchanged. Similarly, the positions of the third and fourth digits are interchanged and so on. Which of the following will be the third to the left of the seventh digit from the left end after the rearrangement?

Correct Answer: (4) None of these
Solution:

  • 7th digit from the left = 5
  • 3rd to the left of 5 = 3

48. Choose the correct option for x in the following sequence

1, 4, 9, 16, x

Correct Answer: (1) 25
Solution:

x = () = 25

49. Which type of reproduction is seen in Hydra?

Correct Answer: (1) Budding
Solution:Hydra reproduces asexually by budding and sexually by the formation of gametes.
  • The common asexual method of reproduction by hydras is budding.
  • Buds originate at the junction of the stalk and gastric regions.

50. Select the related word from the given alternatives.

West : North-East :: South : ?

Correct Answer: (3) North-West
Solution:

North-East is 135° clockwise to West. Similarly, North-West is 135° clockwise to South.