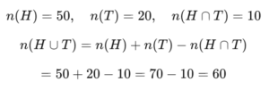
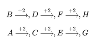
Haryana Constable Exam, (19-09-2021), (Shift-II)Total Questions: 10081. Choose the one pair which does not belong to the group.(1) 22 : 46(2) 1 : 4(3) 10 : 24(4) 8 : 18Correct Answer: (3) 10 : 24Solution:But,10 × 2 + 4 = 2482. E-Shram portal is a National database of(1) Women workers(2) Divyang workers(3) Unorganised workers(4) None of the aboveCorrect Answer: (3) Unorganised workersSolution:Ministry of Labour and Employment (MoLE) launched the e-Shram portal for creating a National Database of Unorganized Workers (NDUW).It seeks to register an estimated 398-400 million unorganized workers and to issue an e-Shram card containing a 12-digit unique number.83. The Agricultural produce in Haryana is being regulated under(1) Haryana Agricultural Produce Markets Act, 1971(2) Punjab Agricultural Produce Markets Act, 1981(3) Punjab Agricultural Produce Markets Act, 1961(4) None of theseCorrect Answer: (3) Punjab Agricultural Produce Markets Act, 1961Solution:The agricultural produce in Haryana is being regulated under the Punjab Agricultural Produce Markets Act, 1961.84. Choose the missing term.BA, DC, FE, ____ .(1) GH(2) HG(3) IH(4) None of theseCorrect Answer: (2) HGSolution:85. 24 carat gold is alloyed with either ____ or copper to make it hard which can be used to make ornaments.(1) Lead(2) Silver(3) Tin(4) ZincCorrect Answer: (2) SilverSolution:'Caratage' is the measurement of purity of gold alloyed with other metals.Pure gold is called 24-carat gold. It is very soft, so it cannot be used for making jewelry.It is alloyed with silver or copper to make it hard.86. At 3:30 p.m. the minute hand of a clock points towards East. Towards which direction the hour hand will point at 9:00 p.m.?(1) South-West(2) East(3) South(4) None of theseCorrect Answer: (3) SouthSolution:At 3:30 PM, the minute hand of a clock points towards South in the normal condition on the sheet of paper. But the minute hand is pointing towards East, which means the clock has been rotated through 90° anticlockwise.At 9:00 PM, the hour hand will point towards West in normal condition. However, according to the question, it will point towards South.87. In a group, 50 people speak Hindi, 20 speak Tamil and 10 speak both Hindi and Tamil, then number of people who speak Hindi or Tamil is(1) 80(2) 70(3) 60(4) None of theseCorrect Answer: (3) 60Solution:88. Which of the following is example for unisexual flower?(1) Sunflower(2) Papaya(3) Mustard(4) HibiscusCorrect Answer: (2) PapayaSolution:A unisexual flower is defined as a flower that possesses either stamens or carpels. They do not have both stamens and carpels.Unisexual flowers: Coconut flowers, Papaya, Watermelon, Cucumber, Maize, etc.89. If the cost of x meters of wire is d rupees, then what is the cost of y meters of wire at the same rate?(1) yd/x(2) yd(3) xy/d(4) xdCorrect Answer: (1) yd/xSolution:Price of x metre of wire is ₹ d .Price of y metre of wire is ₹ dy/x .90. How many women Hockey players from Haryana have represented India in Tokyo Olympics 2020 Hockey tournament?(1) 12(2) 9(3) 6(4) None of the aboveCorrect Answer: (2) 9Solution:The Indian women's hockey team scripted history by qualifying for the semifinals of the Olympics for the first time.Haryana Chief Minister announced an award of Rs 50 lakh each to the nine members of the Olympics women's hockey team representing the state.Submit Quiz« Previous12345678910Next »