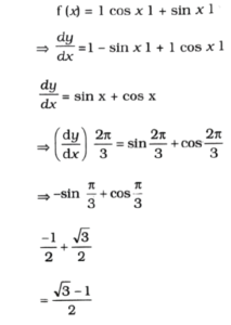
HARYANA PANCHAYAT OFFICER, 2017 (Shift-I)Total Questions: 991. Which tool is used in Haryana for more food production?(1) Advanced and certified seeds(2) Use of fertilizers(3) Irrigation facility(4) All of the aboveCorrect Answer: (4) All of the aboveSolution:High quality seeds, fertilizers and proper irrigation are essential tools used by the Haryana government for more food production.2. If a, b, c, d is coplanar then (axb) x (cxd) =(1) a(2) b(3) 0(4) None of theseCorrect Answer: (3) 0Solution:3. In which route is the Jyotisar shrine situated in Kurukshetra district?CityRoad NameKurukshetraKaithal RoadKurukshetraIsmailabad RoadKurukshetraPehowa RoadKurukshetraPipali Road(1)(2)(3)(4)Correct Answer: (3)Solution:Jyotisar shrine in Kurukshetra is located on the route of Kurukshetra-Pehowa road. It is a pilgrimage for Hindus.4. The unit of rate and rate stability of a certain reaction is the same. The range of the reaction is(1) 1(2) 0(3) 2(4) 3Correct Answer: (2) 0Solution:The total number of reactive molecules in a chemical reaction is called a reaction.5. Where is the Mahabharata's age Bhimeshwari temple situated?(1) Dubaldhan(2) Kosali(3) Beri(4) JhajjarCorrect Answer: (3) Beri6. If R is the relation on the set R of all real numbers defined by aRB if a - b | ≤ 1 then Ris(1) Reflexive and symmetric(2) Symmetric only(3) Transitive only(4) AsymmetricCorrect Answer: (1) Reflexive and symmetricSolution:|a - b| <= 1|a - b| < 1 and |a - b| = 1R is reflexive and symmetric7. In which of the following Meiosis occurs?(1) Stemtip(2) Pollen grain(3) Anther(4) Root tipCorrect Answer: (3) AntherSolution:Meiosis occurs in reproduction cells where as mitosis occurs in sometic cells.8. Rain is falling vertically downwards a man running east wards the rain will appear to be coming from(1) East(2) West(3) North East(4) South EastCorrect Answer: (1) EastSolution:Rain is coming from East.9. In 2012 olympics who was the winner of bronze medal in shooting?(1) Dinesh kumar(2) Jagdish kumar(3) Gagan Narang(4) Chand RamCorrect Answer: (3) Gagan NarangSolution:Gagan narang was the winner of bronze medal in shooting in 2012 olympics.10. If f(x) = | cos x| + | sin x then(1) √3-1/ 2(2) 0(3) 1-√3 /2(4) 1Correct Answer: (1) √3-1/ 2Solution:Submit Quiz12345678910Next »