HARYANA PANCHAYAT OFFICER, 2017 (Shift-I)

Total Questions: 99

11. Geeta is older than her cousin Mamta. Mamta's brother Bipin is older than Geeta. When Mamta and Bipin meet Geeta all three like to play a game of monopoly. Mamta wins more often than Geeta.

Correct Answer: (4) of the three Mamta is the youngest
Solution:Bipin > Geeta > Mamta

Mamta is youngest.

12. In which book, poet Banbhatt has written about king Harsh?

Correct Answer: (1) Harshcharit
Solution:Banbhatt has written about king Harsh in his book "Harshcharit".

13. If, x, y, z, ∈ R then value of determinant

Correct Answer: (3) 0
Solution:

the discriminant will change into

Lake 4 common of + o that two root same. Hence it will become 0.

14. Name of the Surgeon who performed the first successful neonatal heart surgery in the country on a 9-day old baby.

Correct Answer: (2) Dr. Devi Prasad Shetty
Solution:Devi prasad shetty, He is an Indian surgeon. He is the president and founder of Narayana Health, a chain of 21 medical centers in India. He performed the first successful neonatal heart surgery of 9 days old baby in years 1992.

15. Before AD the mighty king of Haryana was of which dynasty?

Correct Answer: (4) All the above
Solution:Before AD the mighty king of Haryana was from puru dynasty, Bharat dynasty and Kuru dynasty.

16. A goods train runs at the speed of 72 kmph and crosses a 250 m long platform in 26 seconds. What is the length of the goods train?

Correct Answer: (4) 270 m
Solution:

17. Photo electrons are emitted when

Correct Answer: (3) Zinc plate is irradiated with light of suitable frequency
Solution:Photo electons are emitted when zinc plate is irradiated with light of suitable frequency.

18. In which district the remains of Seeswal culture firstly found?

Correct Answer: (1) Hisar
Solution:Siswal is a village located in Hisar district of Haryana. Remains of Siswal cutlure firstly found in Siswal village.

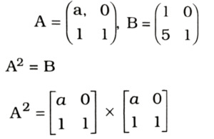
19. If A = (a0 /11) B = (10 /51) whenever A² = B, value of a is

Correct Answer: (4) No real value of a
Solution:

There is no real value of 'a'

20. Flower of an angiosperm is a modified form of

Correct Answer: (4) All the above
Solution:Root, stem, leaf and flower and fruiters definitely found in angiosperm plants.