Haryana SI Constable Exam, (26-09-2021), (Shift-II)

Total Questions: 100

81. When a crime is committed, which of the following is taken into consideration for the investigation of crime by the police?

Correct Answer: (3) Both (A) and (B)
Solution:When a crime is committed, then the act related to the victim and act related to the accused is taken into consideration for investigation of crime by the police.

82. Who was the President of the Police Act Drafting Committee?

Correct Answer: (1) Shri Soli Sorabjee
Solution:The Supreme Court set up the Ribeiro Committee in 1998 followed by the Padmanabhaiah Committee in 2000 and eventually the Police Act Drafting Committee (PADC or Soli Sorabjee Committee) that drafted a new model police bill to replace the colonial 1861 Police Act in 2006.

83. Who among the following was not the National Security Advisor of India?

Correct Answer: (3) T. N. Seshan
Solution:Ajit Kumar Doval is the fifth and current National Security Advisor (NSA) to the Prime Minister of India.
  • The post of NSA was first created in November 1998.
  • T.N. Seshan never served as NSA.

84. When was Operation Muskan launched?

Correct Answer: (3) 2015
Solution:Operation Smile, also called as Operation MUSKAAN, is an initiative of the Ministry of Home Affairs (MHA) to rescue/rehabilitate missing children.
  • It was launched in 2015 and is still effective in a few states.

85. Vallathol Narayana Menon is famous for which Indian dance form?

Correct Answer: (4) Kathakali
Solution:Vallathol Narayana Menon was a poet in the Malayalam language.
  • He founded the Kerala Kalamandalam and is credited with revitalizing the traditional Kerala dance form known as Kathakali.

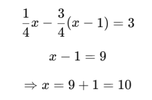
86. In a family, the father takes 1/4 portion of a cake, which is 3 times the portion taken by each of the other members. What is the total number of members in the family?

Correct Answer: (3) 10
Solution:Let total number of members of family = x

According to question,

87. The heavy soil found in Thanesar district of Haryana is known as

Correct Answer: (4) None of these
Solution:The Loam is found in the central parts of east of Thanesar Tehsil.
  • The moderately heavy soil includes silty loam which is locally designated as Khadar.

88. Mahmud Ghaznavi attacked Thanesar in Haryana in

Correct Answer: (2) 1014
Solution:Mahmud of Ghazni attacked Thanesar in the year 1014.
  • He attacked India 17 times during the period between 1000 and 1027 AD.
  • He destroyed the Somnath temple located in western India.

89. In human beings, ‘dark adaptation time’ increases due to deficiency of

Correct Answer: (1) Vitamin A
Solution:Dark adaptation refers to the process whereby the retina adapts to decreasing levels of illumination, which entails a transition from a cone to a rod activity, and thus a change in light sensitivity.
  • In human beings dark adaptation time increases due to deficiency of Vitamin A.

90. When was the IT Park established in the Panchkula district of Haryana?

Correct Answer: (3) 2008
Solution:Haryana government launched its first information technology park in Panchkula in 2008.