HSSC क्लर्क परीक्षा (22.09.2019) प्रथम पाली

Total Questions: 90

21. 1857 की क्रान्ति में हरियाणा के वीरों के पराजय का कारण क्या था ?

Correct Answer: (4) उपर्युक्त सभी
Solution:1857 के विद्रोह का उद्देश्य औपनिवेशिक शक्तियों को हराना था, हालाँकि, यह कई कारणों से हरियाणा में विफल रहा :

• उचित नेतृत्व का अभाव (वर्तमान नेतृत्व कमजोर था);
• हथियारों की सीमित आपूर्ति;
• आधुनिक संचार का अभाव;
• कुछ वर्ग (शिक्षित व्यक्ति) इससे दूर रहे;
• उचित योजना और समन्वय का अभाव।

22. बायुरेट टेस्ट में ....... घोल के साथ प्रोटीन के क्षारीय घोल का शोधन किया जाता है।

Correct Answer: (1) CuSO4
Solution:बायुरेट टेस्ट (Biuret test), प्रोटीन में पेप्टाइड बॉन्ड की उपस्थिति का पता लगाने के लिए इस्तेमाल किया जाने वाला एक रासायनिक परीक्षण है। हाइड्रेटेड कॉपर सल्फेट, पोटैशियम हाइड्रॉक्साइड सॉल्युशन और पोटैशियम सोडियम टारट्रेट युक्त जैव मूत्र परीक्षण में एकमात्र अभिकर्मक है। जलीय नमूने को 1% मजबूत क्षार (सोडियम या पोटैशियम हाइड्रॉक्साइड) के बराबर मात्रा के साथ उपयोग किया जाता है, इसके बाद जलीय कॉपर सल्फेट की कुछ बूंदों का उपयोग किया जाता है। यदि घोल बैंगनी हो जाता है, तो इसमें प्रोटीन उपस्थित होता है।

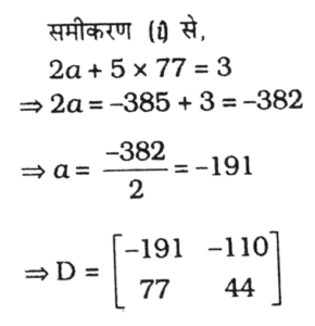
23. यदि

Correct Answer: (4)
Solution:

24. a * b = a + b + 1 द्वारा परिभाषित संक्रिया * के तहत सभी पूर्णांकों का समुच्चय एक समूह है, तो 3 * 1 क्या होगा ?

Correct Answer: (3) 5
Solution:a * b = a + b + 1
3 * 1 = 3 + 1 + 1 = 5

25. पश्चिमी यमुना नहर किस स्थान में यमुना नदी से निकाली गई है ?

Correct Answer: (1) ताजेवाला
Solution:हरियाणा के यमुनानगर जिले में ताजेवाला, दो महत्वपूर्ण नहरों पश्चिमी और पूर्वी यमुना नहरों का उद्गम स्थल है। आधुनिक हथनी कुंड बैराज 1999 में पुराने ताजेवाला बैराज के सिल्टिंग की' समस्या से निपटने के लिए बनाया गया था। जिसकी उत्पत्ति, वर्तमान में, पश्चिमी यमुना नहर की हथनीकुंड से होती है. जो कि ताजेवाला से सिर्फ 3 किलोमीटर की दूरी पर है।

26. हरियाणा राज्य का पुलिस मुख्यालय कहाँ स्थित है ?

Correct Answer: (1) पंचकूला
Solution:हरियाणा राज्य पुलिस मुख्यालय पंचकूला में स्थित है। राज्य पुलिस वर्तमान में पुलिस महानिदेशक के नेतृत्व में है जो एक आईपीएस अधिकारी होता है। हरियाणा में पुलिस की कुल संख्या 63077 है।

27. निम्नलिखित में से किस वर्ष से इम्पीरियल वन अनुसंधान संस्थान को देहरादून में स्थापित किया गया था ?

Correct Answer: (1) 1906
Solution:वन अनुसंधान संस्थान की स्थापना 1878 में डिट्टीच ब्रेडिज द्वारा ब्रिटिश इंपीरियल फॉरेस्ट स्कूल के रूप में की गई थी। 1906 में, इसे ब्रिटिश इंपीरियल फॉरेस्ट्री सर्विस के तहत इंपीरियल फॉरेस्ट रिसर्च इंस्टीट्यूट के रूप में फिर से स्थापित किया गया था। यह मूल रूप से चंडीगढ़ में स्थित था लेकिन, यह वर्तमान में उत्तराखंड के देहरादून में स्थित है, और अपनी तरह के सबसे पुराने संस्थानों में से एक है।

28. चार्ल्स डिकेंस का कौन-सा उपन्यास गरीबों पर औद्योगिकीकरण के प्रभाव की जानकारी देता है ?

Correct Answer: (3) ओलिवर ट्विस्ट
Solution:चार्ल्स डिकेंस ने अपने उपन्यास "हार्ड टाइम्स" (1984) में औद्योगिक श्रमिकों के जीवन और शहरी जीवन की भयानक परिस्थितियों पर ध्यान केंद्रित किया। इसमें एक काल्पनिक औद्योगिक शहर कोकेटाउन का वर्णन किया गया है, जहाँ अत्यधिक मशीनें, चिमनियाँ, प्रदूषित नदियाँ दिखती थीं। यहाँ श्रमिकों को 'हाथ' (hands) के रूप में जाना जाता था, जैसे कि उनके पास मशीनों के ऑपरेटरों के अलावा कोई पहचान नहीं थी। हार्ड टाइम्स में, डिकेंस ने औद्योगिक शहरों में श्रमिक वर्ग की बदतर स्थितियों की तीखी आलोचना की। उन्होंने न केवल मुनाफे के लालच की आलोचना की, बल्कि उन विचारों को भी शामिल किया, जिन्होंने मानव को उत्पादन के सरल उपकरणों में बदल दिया। चार्ल्स डिकेन्स के दूसरे उपन्यास, ओलिवर ट्विस्ट में भी औद्योगिक क्रांति की कठिन परिस्थितियों का वर्णन किया गया है।

29. एकल फ्लॉपी डिस्क नियंत्रक बोर्ड ....... रिबन केबल को सहायता देता है।

Correct Answer: (3) 33 - तार
Solution:एक फ्लॉपी डिस्क कंट्रोलर या एफडीसी को विशेष रूप से डिजाइन की गई चिप के रूप में गढ़ा जाता है जो डिस्क कंट्रोलर सर्किट से जुड़ी होती है। यह फ्लॉपी डिस्क के पढ़ने और लिखने के संचालन को नियंत्रित करता है। एक सिंगल चिप 4 फ्लॉपी डिस्क ड्राइव को सपोर्ट कर सकता है। यह ISA बस नामक आर्किटेक्चर के माध्यम से या 33.33 पिन रिबन केबल (जो 33 पिन रिबन केबल है) के साथ समान संरचना वाली बस के माध्यम से सीपीयू के साथ संवाद करता है।

30. VARCHAR2 ....... बाइट तक कैरेक्टर भंडारित कर सकते हैं।

Correct Answer: (4) 4000
Solution:वेरिएबल-लेंथ कैरेक्टर स्ट्रिंग्स को स्टोर करने के लिए, हम Oracle VARCHAR2 डेटा टाइप का उपयोग करते हैं। VARCHAR2 1 से 4000 बाइट्स तक का मान संग्रहित कर सकता है। इसका अर्थ है कि एकल-बाइट वर्ण सेट (single-byte character set) के लिए, हम VARCHAR2 कॉलम में 4000 वर्ण (characters) तक संग्रहित कर सकते हैं।