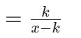
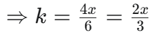
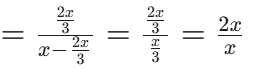
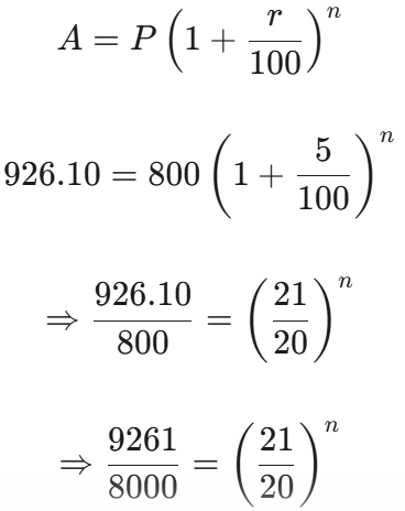
HSSC CET Group-D Exam 21.10.2023 (Shift-II)Total Questions: 10041. (0.5 × 0.5 + 0.5 ÷ 5) is equal to:(1) 0.35 (2) 0.45(3) 0.15(4) 0.25 (5) Not attemptedCorrect Answer: (1) 0.35 Solution:(0.5 × 0.5 + 0.5 ÷ 5) 42. The L.C.M. of three numbers 2 p, 5 p and 7 p is :(1) 75 p(2) 70 p³(3) 70 p(4) 65 p(5) Not attemptedCorrect Answer: (3) 70 pSolution:LCM of 2P, 5P & 7P= 2P × 5 × 7= 70P43. For which sum, the simple interest at the rate of 3 ¾ % per annum will be Rs. 210 in 2 ⅓ years ?(1) Rs. 2,800(2) Rs. 2,500(3) Rs. 1,580(4) Rs. 2,400 (5) Not attemptedCorrect Answer: (4) Rs. 2,400 Solution:= Rs. 240044. If a and b are two distinct integers, then which of the following is incorrect ?(1) a + 0 = 0 + a = a(2) a - 0 = a ≠ 0 - a(3) a + b = b + a(4) a - b = b - a(5) Not attemptedCorrect Answer: (4) a - b = b - aSolution:If a and b are two distinct integers thena - b = b - a is incorrect45. A certain number Is divided Into two parts such that 5 times the first part added to 11 times the second part makes 7 times the number. The ratio of the first part to the second part is :(1) 1 : 2(2) 2 : 3(3) 2 : 1(4) 5 : 11(5) Not attemptedCorrect Answer: (3) 2 : 1Solution:Let the number be xFirst part = kSecond part = x - kAccording to question,5k + 11 (x - k) = 7x⇒ 5k + 11x - 11k = 7x⇒ 11x - 7x = 6k⇒ 4x = 6k Required ratio = 2 : 146. Half of a certain number is equal to 65% of the second number. The ratio of the first number to the second number is(1) 13 : 8(2) 13 : 10(3) 10 : 13(4) 8 : 13(5) Not attemptedCorrect Answer: (2) 13 : 10Solution:Let first number = xSecond number = yAccording to question ⇒ x : y = 13 : 1047. The length of the longest rod that can be placed in a room of dimensions 10 m × 10 m × 5 m is :(1) 10√2(2) 5√3 m(3) 15√3 m (4) 15 m(5) Not attemptedCorrect Answer: (4) 15 mSolution:Length of longest rod that can be placed in a room 48. In how many years will a sum of Rs. 800 at 10% per annum compound interest, compounded semi-annually become Rs. 926.10 ?(1) 2⅓(2) 2½(3) 1⅓(4) 1½(5) Not attemptedCorrect Answer: (4) 1½Solution:Interest is compounded half yearly. 49. 20 litres of a mixture contains milk and water in the ratio 3 : 1. The amount of milk to be added to the mixture so as to make the ratio 4 : 1, is :(1) 5 litres(2) 6 litres(3) 7 litres(4) 4 litres(5) Not attemptedCorrect Answer: (1) 5 litresSolution:Quantity of milk = 3/4 × 20= 15 litres Quantity of water = 1/4 × 20= 5 litresAccording to question, 50. Simplification of ____ gives :(1) 41/4(2) 9/5 (3) 5/3(4) 41/12(5) Not attemptedCorrect Answer: (3) 5/3Solution:Submit Quiz« Previous12345678910Next »