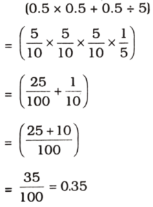
HSSC CET GROUP -D EXAM : 21.10.2023 (Shift -II)Total Questions: 10041. (0.5 x 0.5 +0.5 + 5) is equal to:(1) 0.35(2) 0.45(3) 0.15(4) 0.25(5) Not attemptedCorrect Answer: (1) 0.35Solution:42. The L.C.M. of three numbers 2 p, 5 p and 7 pis:(1) 75 p(2) 70 p³(3) 70 p(4) 65 p(5) Not attemptedCorrect Answer: (3) 70 pSolution:LCM of 2P, 5P & 7P= 2P x 5x7= 70P43. For which sum, the simple interest at the rate of 3 3/4 % per annum will be Rs. 210 in 2 1/2 years? 3(1) Rs. 2,800(2) Rs. 2,500(3) Rs. 1,580(4) Rs. 2,400(5) Not attemptedCorrect Answer: (4) Rs. 2,400Solution:44. If a and b are two distinct integers, then which of the following is incorrect?(1) a + 0 = 0 + a = a(2) a-0=a ne 0 - a(3) a + b = b + a(4) a - b = b - a(5) Not attemptedCorrect Answer: (4) a - b = b - aSolution:If a and b are two distinct integers thena-b=b-a is incorrect45. A certain number Is divided Into two parts such that 5 times the first part added to 11 times the second part makes 7 times the number. The ratio of the first part to the second part is:(1) 1 : 2(2)2 : 3(3) 2 : 1(4) 5 : 11(5) Not attemptedCorrect Answer: (3) 2 : 1Solution:46. Half of a certain number is equal to 65% of the second number. The ratio of the first number to the second number is:(1) 13 : 8(2) 13 : 10(3) 10 : 13(4) 8 : 13(5) Not attemptedCorrect Answer: (2) 13 : 10Solution:47. The length of the longest rod that can be placed in a room of dimensions 10m x10m x 5 m is:(1) 10√2(2) 5√3 m(3) 15√3 m(4) 15 m(5) Not attemptedCorrect Answer: (4) 15 mSolution:48. In how many years will a sum of Rs. 800 at 10% per annum compound interest, compounded semiannually become Rs. 926.10?(1) 2 1/3 years(2) 2 1/2 years(3) 1 1/3 years(4) 1 1/2 years(5) Not attemptedCorrect Answer: (4) 1 1/2 yearsSolution:49. 20 litres of a mixture contains milk and water in the ratio 3: 1. The amount of milk to be added to the mixture so as to make the ratio 4: 1, is:(1) 5 litres(2) 6 litres(3) 7 litres(4) 4 litres(5) Not attemptedCorrect Answer: (1) 5 litresSolution:Quantity of milk = 3/4x20 = 15 liter50. Simplification of (0.2 x 0.2 + 0.01)/(0.1 x 0.1 + 0.02) gives:(1) 41/4(2) 9/5(3) 5/3(4) 41/12(5) Not attemptedCorrect Answer: (3) 5/3Solution:Submit Quiz« Previous12345678910Next »