HSSC CET Group-D Exam 22.10.2023 (Shift-II)

Total Questions: 98

51. In what ratio, rice at Rs. 28.80 per kg and rice at Rs. 22.80 per kg be mixed to get a mixture worth Rs. 25.20 per kg?

Correct Answer: (1) 2:3
Solution:

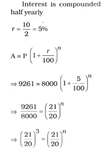
52. In how many years will a sum of Rs. 8,000 at 10% per annum compound interest, compounded semi-annually be-come Rs. 9,261?

Correct Answer: (1) 3/2 years
Solution:

53. A solid metallic cylinder of base radius 3 cm and height 5 cm is melted to form cones, each of height 1 cm and base radius 1 mm. The number of such cones is:

Correct Answer: (5) Not attempted
Solution:

54. Select the alternative which best describes the underlined idiomatic expression. You may rush from pillar to post, but you stand no chance of getting what you want without hard work.

Correct Answer: (1) rush in all directions and suffer much harassment
Solution: (Go/rush) from pillar to post (Idiom)= (frome one place to another in an unceremorious or fruitless manner) Hence, "rush in all direction and suffer much harassment"

55. Choose the correct alternative to improve the underlined part of the following sentence. If no improvement is required, your answer is (3).

You will face many defeats in life but never let themselves be defeated.

Correct Answer: (1) yourself be defeated
Solution:The subject of the sentence is "You," so it will be followed by the reflexive fronoun "yourself." The given part is in passive form so, defeated (V³) will be used. Hence, yourself be defeated will be the right usage.

56. Fill in the blank with correct form of Verb.

Time and tide____for none.

Correct Answer: (4) wait
Solution:When two singular un-countable nouns are joined by "and" and used as the subject, it takes plural verb. Hence, wait is the correct form of verb to fill in the blank.

57. Pick out the correctly spelt word.

Correct Answer: (1) tempestuous
Solution:The correctly spelt word is "tempestuous" Tempestuous (Adjective)= very stormy.

58. Pick out the antonym of the underlined word in the following sentence.

He was afraid of losing the match.

Correct Answer: (3) confident
Solution:

Afriad (Adjective)= feeling fear or anxiety, frightened. Nervous (Adjective)= tending to be anxious; distressing. Shaken (past participle of shake)= a fit of trembling or shivering; oscillate; shiver. Confident (Adjective)= self-assured

Hesitant (Adjective)= tentative, unsure, or slow in acting or speaking.

Hence, confident is the antonym of afraid.

59. Pick out the part of the sentence which has an error. If there is no error, your answer is (3).

The property/A

was divided/B

among the two brothers./B

Correct Answer: (2) (C)
Solution:Among is used for more than two persons or things while between is used for two persons or things. Hence, "between the two brothers" will be the right usage.

60. Choose the alternativea which best the given sentence into direct speech.

Correct Answer: (1) He said to the bo ynot to sit there.
Solution:The given indirect speech will be changed into direct speech as follows:

Indirect speech Direct speech

He told the boy He sovid to the boy

  • Since the sentence is negative imperative, use "Don't" after removing "not to".