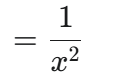
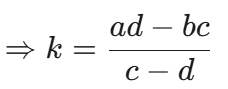
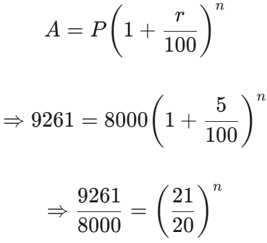
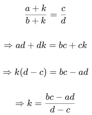
HSSC CET Group-D Exam 22.10.2023 (Shift-I)Total Questions: 10041. The single discount equivalent to two successive discounts of 20% and 10% is :(1) 25% (2) 28%(3) 27%(4) 30%(5) Not attemptedCorrect Answer: (2) 28%Solution:Single equivalent discount of two successive discounts of 20% and 10% 42. The average of four consecutive numbers A B, C and D is 49.5. What is the product of B and D ?(1) 2450 (1) 2450 (3) 2550 (4) 2499(5) Not attemptedCorrect Answer: (4) 2499Solution:Average of four consecutive numbers A, B, C & D = 49.5 Product of B and D= 49 × 51 = 249943. In how many years will a sum of Rs. 8000 at 5% per annum compound interest, compounded; annually becomes Rs. 9261?(1) 3(2) 4⅔(3) 5(4) 3⅓(5) Not attemptedCorrect Answer: (1) 3Solution:Required time = 3 years44. The smallest 5-digit number which is exactly divisible by 12, 15 and 18 is :(1) 10,015(2) 10,020(3) 10,080(4) 10,010(5) Not attemptedCorrect Answer: (3) 10,080Solution:LCM of 12, 15 & 18 = 180Smallest 5-digit number Required number= 10000 + 180 - 100= 1008045. The HCF of 2² × 3³ × 5⁵, 2³ × 3² × 5² × 7 and 2⁴ × 3⁴ × 5 × 7² × 11 is(1) 2² × 3⁴ × 5 × 7² × 11(2) 2² × 3⁴ × 5⁵(3) 2⁴ × 3⁴ × 5⁵ × 7 × 11(4) 2² × 3² × 5(5) Not attemptedCorrect Answer: (5) Not attemptedSolution:2³ × 3³ × 5⁵ 2³ × 3² × 5² × 7 2⁴ × 3⁴ × 5 × 7² × 11 HCF = 2³ × 3² × 546. Wheat at Rs. 9.30 per kg is mixed with another quality of wheat in the ratio 8:7. If the mixture so formed be worth Rs. 10 per kg, what is the rate per kg of the second quality of wheat?(1) Rs. 10.60(2) Rs. 10.80(3) Rs. 11.00(4) Rs. 10.30(5) Not attemptedCorrect Answer: (2) Rs. 10.80Solution:Let price of second type of wheat per kg By rule of alligation 47. The number that must be added to each term of a : b so as to get the ratio c : d, is :(1) (ac + bd) / (c + a)(2) (ad + bc) / (c + d)(3) (ab - cd) / (c - b)(4) (ab - cd) / (a - b)(5) Not attemptedCorrect Answer: (3) (ab - cd) / (c - b)Solution:Let number to be added According to question, 48. A certain sum is divided in the ratio 3 : 5. If the greater part is Rs. 75, then the sum is :(1) Rs. 130(2) Rs. 150(3) Rs. 240(4) Rs. 120(5) Not attemptedCorrect Answer: (4) Rs. 120Solution:49. If 0 < x < 1, then the greatest number among the following is :(1) x² (2) 1/x(3) 1/x²(4) x(5) Not attemptedCorrect Answer: (3) 1/x²Solution:0 < x < 1from options, largest number 50. A can complete 1/3 of a work in 5 days and B can complete 2/5 of the same work in 10 days. In how many days both A and B together can complete the work?(1) 8⅘(2) 9⅜(3) 10 (4) 7½(5) Not attemptedCorrect Answer: (2) 9⅜Solution: Time taken by A = 3 × 5 = 15 days Time taken by B = 5/2 × 10 = 25 days Time taken by (A + B) to complete the work Submit Quiz« Previous12345678910Next »