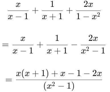
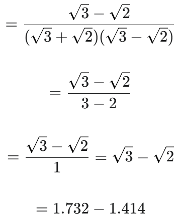
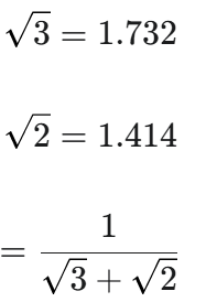
HSSC CET Group-D Exam 22.10.2023 (Shift-I)Total Questions: 10051. A motorist travelled between two towns, which are 65 km apart, in 2 hours 10 minutes. The speed in meters per minute is:(1) 500(2) 600(3) 700 (4) 200(5) Not attemptedCorrect Answer: (1) 500Solution:Speed of motorbike 52. A and B started a business by investing Rs. 85,000 and Rs. 15,000 respectively. In what ratio, out of the following; their profits will be divided after one year?(1) 3:5(2) 15:3(3) 17:3(4) 3:4(5) Not attemptedCorrect Answer: (3) 17:3Solution:53. Solve it :=?(1) 2(2) 3(3) 4(4) 1(5) Not attemptedCorrect Answer: (4) 1Solution:54. How many cubes of edge 3 cm can be cut out of a solid wooden cube of edge 18 cm?(1) 216(2) 6(3) 218(4) 36(5) Not attemptedCorrect Answer: (1) 216Solution:No. of small cubes 55. If √3 = 1.732 and √2 = 1.414, then 1 / (√3 + √2) is equal to(1) 0.308(2) 0.318(3) 2.146 (4) 0.064(5) Not attemptedCorrect Answer: (2) 0.318Solution:= 0.31856. Then P × Q + R – S means :If A + B means ‘A is brother of B’.A – B means ‘A is the husband of B’.A × B means, ‘A is the father of B’.(1) Q is the husband of S(2) S is the wife of P(3) P is the father of S(4) P is the father-in-law of S(5) Not attemptedCorrect Answer: (4) P is the father-in-law of SSolution:P × Q : P is father of Q. Q + R : Q is brother of R.R – S : R is husband of S.● P is father of Q and R.Therefore, P is father-in-law of S.57. A set of English letters is given below in a jumbled order. Select the combination of numbers so that the letters arranged accordingly will form a meaningful word.T O A R H U1 2 3 4 5 6(1) 3, 6, 1, 4, 5, 2(2) 3, 6, 1, 5, 2, 4(3) 2, 4, 5, 1, 3, 6(4) 4, 2, 1, 6, 3, 5(5) Not attemptedCorrect Answer: (2) 3, 6, 1, 5, 2, 4Solution:3 6 1 5 2 4A U T H O R58. Choose the option, which is related to the third term in the same way as the second term is related to the first :Pen : Write :: Spade : ?(1) Dig (2) Cut(3) Guard(4) Crush(5) Not attemptedCorrect Answer: (1) Dig Solution:Here, “Tool : Function” relationship has been shown.Pen is use to write something on paper. Similarly, Spade is used to dig earth.59. Choose the odd one out :(1) Quintal (2) Kilometre(3) Kilogram(4) Gram(5) Not attemptedCorrect Answer: (2) KilometreSolution:Except kilometre, the other three are units of meas. urement of mass. Kilometre is the unit of measurement of distance.60. Two statements are given, followed by two Conclusions I and II. Assuming the statements to be true even if they seem to be at variance from the commonly known facts, decide which of the Conclusions logically follow (s) from the given statements :Statements :All rivers are mountains.All oceans are mountains.Conclusions :I. Some rivers are oceans.II. Some mountains are rivers.(1) Only Conclusion II follows.(2) Both Conclusions I and II follow.(3) Neither Conclusion I nor II follows.(4) Only Conclusion I follows.(5) Not attemptedCorrect Answer: (1) Only Conclusion II follows.Solution:Both the statements are Universal Affirmative (A-type).These two statements are not aligned properly. Therefore, no Conclusion follows from these two statements. Conclusion II is the Converse of the first statement.Submit Quiz« Previous12345678910Next »