HSSC CET Mains Group-56/Dt.-07-08-2023 Morning Shift Set-B

Total Questions: 100

61. Which value will replace the question mark in the following equation?

4 1÷2 + 3 1÷2 + 2 1÷2 = ?

Correct Answer: (b) 3 1÷2
Solution:

62. This sports person from Haryana was nominated for the Dronacharya Award (Lifetime Category) in recognition of his contribution to the sport of wrestling in 2022:

Correct Answer: (a) Raj Singh Chhikkara
Solution:Raj Singh Chhikara was nominated for the Dronacharya Award (Lifetime Category) for his contribution to the sport of wrestling in the year 2022.

63. What is Solar Eclipse?

Correct Answer: (d) When the Moon comes in between Earth and Sun
Solution:Solar eclipse occurs when the Moon passes between the Sun and the Earth. When the Sun, Moon and Earth come in a straight line, a total eclipse occurs. This happens because the Sun's diameter is 400 times that of the Moon, but coincidentally it is also 400 times farther away.

64. India is the __________ largest Country in the World (in terms of area).

Correct Answer: (a) 7
Solution:In terms of area, India ranks 7th among the countries of the world. Russia, Canada, America, China, Brazil and Australia are countries which are bigger than India. India with its area of 3.28 million square kilometres covers 2.4% of the world's land area.

65. Battle of Karnal was fought between __________ and Muhammad Shah of Mughal Empire.

Correct Answer: (b) Nadir Shah
Solution:In 1739 AD, the Battle of Karnal was fought between Nadir Shah and Muhammad Shah. Nadir Shah was victorious in this battle. Muhammad Shah was a Mughal emperor, while Nadir Shah was an emperor of the Persian empire of the Afsharid dynasty. After this war, Nadir Shah returned to Persia with money worth *70 crores and thrones.

66. full form of NDC is

Correct Answer: (d) National Defence College
Solution:The full form of NDC is National Defence College. The National Defence College (NDC), located in New Delhi, is India's premier educational institution for the study and practice of national security and strategy. Established in the year 1960, the college has earned a world reputation for excellence over the years.

67. Pehowa mela is held in which among the following district of Haryana?

Correct Answer: (a) Kurukshetra
Solution:Pehowa pilgrimage fair is organised every year in Kurukshetra in Haryana. A small pond here is believed to be the Saraswati river, which has gone underground.

68. Who was the Chairman of Steering Committee of Constituent Assembly?

Correct Answer: (d) Dr. Rajendra Prasad
Solution:Dr. Rajendra Prasad was the Chairman of the Steering Committee in the making of the Indian Constitution. The first meeting of the Constituent Assembly of India was held on 9th December, 1946, while the last meeting was held on 24th January, 1950, in which Rajendra Prasad was elected the first President of India.

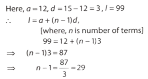
69. Find the sum of all 2 digit number divisible by 3.

12, 15, 18, 21, ..., 99.

Correct Answer: (d) 1665
Solution:2-digits numbers divisible by 3 are 12, 15, 18, 21...........99

70. A worker may claim Rs. 15 for each km which he travels by taxi and Rs. 5 for each km which he drives his own car. If in one week he claimed Rs. 500 for travelling 80 km, how many kms he travels by Taxi?

Correct Answer: (c) 10 km
Solution:Let the person travels x km by Taxi in a week. Then, the distance travelled by the person by Car = (80-x) km According to the question,