HSSC CLERK EXAM, 23.09.2019 (Shift-I)

Total Questions: 88

1. A capital of Lakshadweep, a Union Territory of India is

Correct Answer: (3) Kavaratti
Solution:Kavaratti is the capital of the Union Territory of Lakshadweep. Kavaratti is a census town as well as the name of the atoll upon which the town stands. It is well known for its pristine white sand beaches and calm lagoons,

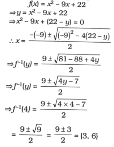
2. If a function f : R -> R is defined by f(x) = x²- 9x + 22 then f⁻¹ (4) =

Correct Answer: (1) {3, 6}
Solution:

3. Unit of cryoscopic constant is

Correct Answer: (3) K kg mol-¹
Solution:In thermodynamics, the cryoscopic constant, Kf, relates molality to freezing point depression (which is a colligative property). It is the ratio of the latter to the former:

Where, i is the Van't Hoff factor, the number of particles the solute splits into or forms when dissolved and b is the molality of the solution.

The unit of cryoscopic constant is Kelvin kg mol-¹

4. Which is not an Assignment Operator?

Correct Answer: (4) !=
Solution:Assignment operators are used to assigning value to a variable. The left side operand of the assignment operator is a variable and right side operand of the assignment operator is a value. The value on the right side must be of the same data-type of the variable on the left side otherwise the compiler will raise an error.

Different types of assignment operators are:

"=": This is the simplest assignment operator. This operator is used to assign the value on the right to the variable on the left;

"+=": This operator is combination of '+' and '=' operators. This operator first adds the current value of the variable on left to the value on the right and then assigns the result to the variable on the left;

"/=": This operator is combination of '/' and '=' operators. This operator first divides the current value of the variable on left by the value on the right and then assigns the result to the variable on the left.

5. Panchkula IT Park was established in the year

Correct Answer: (2) 2008
Solution:Panchkula IT Parkwas established in 2008. Also known as Haryana State Industrial and Infrastructural Development Corporation Technology Park, it is the state of art infrastructure to facilitate information technology in the city. It is spread over 74 acres. It is well connected to Delhi, Haryana, Punjab and Himachal Pradesh.

6. Choose out the odd one.

Correct Answer: (2) Knowledge
Solution:Reading, Writing and Learning are resorted to by one to acquire knowledge. Therefore, knowledge is odd one.

7. Yamuna Nagar of Haryana is also called as

Correct Answer: (1) Paper city
Solution:Yamunanagar, previously known as Abdullahpur, is known for the cluster of plywood units and paper industries. The city is also known for its plywood industries, which is attributed to the easy accessibility of primary raw material - poplar tree. It is also famous for its brass and stainless steel utensils.

8. The Allahabad Pillar Incription was composed by which of the following scholar?

Correct Answer: (1) Harishena
Solution:The Allahabad Pillar inscription or Prayag-Prasasti was composed by Harisena, the court poet and minister of Samudragupta. It delineates a vivid description of the reign and conquests of Samudragupta. Written in Sanskrit, it is considered "the most impor-tant historical document of the classical Gupta age".

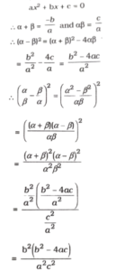
9. If α and β are the roots of the equation ax2 + bx + c = 0 then

(α/β - β/α)² is

Correct Answer: (2) b² (b²-4ac) / a²c²
Solution:

10. Which of the following Committee constituted to boost digital payments and enhance financial inclusion?

Correct Answer: (2) Nandan Nilekani Committee
Solution:The RBI in January 2019 constituted a high-level committee under Aadhaar architect Nandan Nilekani to suggest measures to strengthen the safety and security of digital payments in the country. The five-member panel on deepening of digital payments was constituted to encourage digitisation of payments and enhance financial inclusion through digitisation