HSSC CLERK EXAM, 23.09.2019 (Shift-I)

Total Questions: 88

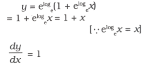
31. If y = eˡᵒᵍₑ (1 + eˡᵒᵍₑ x) then dy/dx =

Correct Answer: (3) 1
Solution:

32. "World Press Freedom Index" where India Ranks 140ᵗʰ in world released by

Correct Answer: (1) Reporters without Borders
Solution:The Reporters Without Borders (RSF) on April 18, 2019 released the World Press Freedom Index 2019 in which India's rank dropped down to 140th from 138th in 2018. The 2019 Index was topped by Norway again for the third year, followed by Finland and Sweden at second and third positions, respectively..

33. The agro climatic zonal research station of western zone is located in

Correct Answer: (1) Hisar
Solution:The Agro-Climatic Zone research station of western zone in Haryana are located at Bhiwani, Fatehabad, Hisar, Mahendargarh, Rewari and Sirsa. Agroclimatic zone (ACZ) is a land unit represented accurately or precisely in terms of major climate and growing period, which is climatically suitable for certain range of crops and cultivars.

34. Carborundum is

Correct Answer: (3) Silicon carbide
Solution:Silicon carbide (SiC) is also known as Carborundum. It is a semiconductor containing silicon and carbon. It occurs in nature as the extremely rare mineral moissanite. Naturally occurring moissanite is found in only minute quantities in certain types of meteorite and in corundum deposits and kimberlite.

35. >>> T = (10, 20, 30, 40, 50) >>> T1 = T [2 : 4] >>> print T1

From the above example Output is

Correct Answer: (1) 30, 40
Solution:>>> Print T1 means print the input of T1 it means print 2 to 4 element of input T not including the 4 value. So it will print 2 and 3 value 2 of the input values are indexed from 0. So the O/P will be 30,40.

36. The highest population of pigs was found in

Correct Answer: (2) Sonipat
Solution:The total number of Pigs in the state as per census 2012 is 0.12 million numbers. District of Sonipat has the highest contribution in pig population of 8.79%. The second and third highest contributors are Jind and Rohtak with share of pig population of 8.61% and 8.58% respectively.

37. T/J : 2 :: X/H : ?

Correct Answer: (3) 3
Solution:T/J : 2 =>  20/10 = 2

Similarly,

X /H =>  24/8 =3

38. The Haryana National Horse Research Institute was established at Hisar in the year

Correct Answer: (4) 1986
Solution:National Research Centre On Equines (NRCE), also known as National Horse research institute, was established at Hisar in January 1986. It is a premier institute established under the aegis of Indian Council of Agricultural Research for conducting research on equine health and production. The institute also has a sub - campus at Bikaner, Rajasthan that was created during 1989.

39. To which of the following city the capital of Magadha was shifted from Rajagaha ?

Correct Answer: (2) Pataliputra
Solution:Rajagriha, initially known as 'Girivrijja', served as the capital of Magadha during the reign of Bimbisara. Bimbisara was succeeded by his son Ajatashatru, who shifted the capital of Magadha from Girivraj to Pataliputra (modern Patna, Bihar).

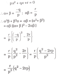
40. If α and β are the roots of the equation px³ + qx + r = 0 then α³β+ β³α is

Correct Answer: (3) r(q²-2rp) / p³
Solution: