HSSC CLERK EXAM, 23.09.2019 (Shift-I)

Total Questions: 88

41. What is the rank of India in the World Happiness Report 2019 released by the Sustainable Development Solutions Network for the United Nations?

Correct Answer: (3) 140ᵗʰ
Solution:In the UN World Happiness Report, released by the Sustainable Development Solutions Network for the United Nations on 20 March, 2019 India was ranked 140th. Finland was ranked as the happiest country amongst 156 nations surveyed. In 2018, India was placed on 133 position.

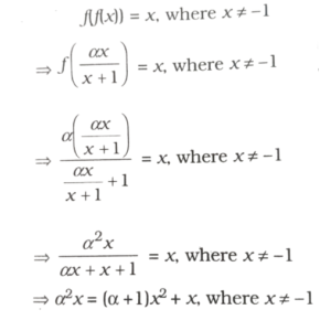
42. Let f(x) = (ax)/(x + 1), x ≠ -1 then the value of a for which fof (x) = x is

Correct Answer: (2) -1
Solution:

43. order and molecularity of this reaction is

Correct Answer: (3) 1, 2
Solution:The given reaction is pseudo first order reaction as here on reactant, i.e. H₂O is in excess.

(a) Instantaneous rate of reaction:

- d[C₁₂H₂₂O₁₁]/dt = d[C₆H₁₂O₆] /dt

= d[C₆H₁₂O₆] /dt

(b) Rate this equation is :

Rate = K[C₁₂H₂₂O₁₁] [H₂O]

or, K' = K[H₂O]

(Since H₂O is in excess)

and rate = k'[C₁₂H₂₂O₁₁]

(c) Molecularity of this reaction is two.

44. The process of linking the function call to the function definition is called as

Correct Answer: (1) Binding
Solution:Binding is the process of linking the function call to the function definition. The body of the function is executed when the function call, is made. Binding is of two types: static and dynamic.
  • Static Binding: the linking of function call to the function definition is done during compilation of the program.
  • Dynamic Binding: the linking of function call to the function definition is done during the execution of the program.

45. In Gurugram of Haryana the Maruthi Suzuki Pvt. Ltd. was the first company that set up a manufacturing unit in this city in

Correct Answer: (4) 1980s
Solution:Maruti Udyog Limited was founded by the Government of India in 1981, only to merge with the Japanese automobile company Suzuki in October 1982. The first manufacturing factory of Maruti was established in Gurgaon, Haryana, in the same year. However, it commenced the production of automobiles a year later in 1983. The very first model of Maruti, Maruti Suzuki 800, made its way to Indian roads in December 1983.

46. Choose out the odd one.

Correct Answer: (2) Cube
Solution:Except cube all others are two-dimensional geometrical figures. Cube is a three-dimensional figure.

47. In the group {1, 3, 7, 9} under

Correct Answer: (4) 7
Solution:In group (1, 3, 7, 9}

3 × 7 = 1 (mod 10)

=> 7⁻¹ = 3

48. Which Article of Constitution gives power of Supreme Court of issue writ ?

Correct Answer: (3) Article 32
Solution:Article 32 of the Constitution of India confers power on the Supreme Court to issue direction or order or writ, including writs in the nature of habeas corpus, mandamus, prohibition, quo warranto and certiorari, whichever may be appropriate, for the enforcement of any of the rights conferred by Part III of the Constitution. The right to move the Supreme Court under Article 32 for the enforcement of any of the rights is itself a fundamental right.

49. _____init____() is a special method, which is called as

Correct Answer: (3) Class constructor
Solution:"___init____" is a special method in python classes. It is called as the constructor method for a class in object oriented terminology. This method is called when an object is created from a class and it allows the class to initialize the attributes of the class

50. The first meeting related to Non-Cooperation Movement was held at Panipat, in 1990

Correct Answer: (1) March
Solution:During the Noncooperation movement, a partial hartal was observed in many districts of Punjab including Panipat on 30th March 1919. A meeting was held in the town. An Urdu handwritten pamphlet appealing for passive resistance was noticed by the people in the bazaar at Karnal. To observe hartal on the 6th April, mass meetings were held at Karnal on 4th and 5 th April. The hartal was observed successfully at Karnal but it failed at Panipat. However, on 9th April, Ram Naumi was celebrated at Panipat and in Rath Yatra, Hindus and Muslims did organized demonstrations in honour of Mahatma Gandhi. On the 11th. a complete hartal was again observed at Panipat against the arrest of Gandhi at Palwal.