HSSC GROUP ‘D’ EXAM 18.11.2018 (shift-I)

Total Questions: 90

31. Which committee recommended the establishment of the scheme "Democratic Decentralisation" in India?

Correct Answer: (2) Balwant Rai Committee
Solution:(2) The Balwant Rai Mehta Committeewas appointed by the Government of India in January 1957 to examine the work of the Community Development Programme (1952) and the National Extension Service (1953). The committee recommended the establishment of the scheme of 'democratic decentralization', which finally came to be known as Panchayati Raj.

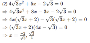
32. Solutions of the equation

4√3 x² + 5x – 2√3 = 0 are

Correct Answer: (2) √3/4, -2/√3
Solution:

33. The second battle of Panipat was fought between Hemu and

Correct Answer: (3) Akbar
Solution:(3) The Second Battle of Panipat took place between the Mughal forces of Akbar and the army of Hemu on 5 November 1556. It shattered the military power of Hemu on the one hand and put an end to the Afghan pretensions to sovereignty in Hindustan forever. It marked the real beginning of the Mughal empire in India.

34. The idea of residuary powers with the centre in Indian Constitution was borrowed from the Constitution of

Correct Answer: (2) Canada
Solution:(2) The Indian constitution borrowed the feature of vesting of residuary powers in the Centre from the Canadian constitution. Some other features adopted from the Canadian constitution are: federation with a strong Centre, appointment of state governors by the Centre, advisory jurisdiction of the Supreme Court, etc.

35. Which among the districts in Haryana has highest population density?

Correct Answer: (3) Faridabad
Solution:(3) Faridabad has the highest population density (2442) in Haryana according to the 2011 Census. It is followed by Gurgaon (1204) and Panipat (951). Population density is a measurement of the number of people in an area. It is calculated by dividing the number of people by the area.

36. If ‘TEST’ is coded as ‘64’ then ‘EXAM’ is coded as

Correct Answer: (2) 43
Solution:

(2)   T   E  S   T
    ↓   ↓   ↓   ↓
   20 + 5 + 19 + 20 = 64

Therefore,
      E  X  A   M
      ↓   ↓   ↓  ↓
      5 + 24 + 1 + 13 = 43

37. 50 J of heat is produced each second in a 5 Ω resistance. The potential difference across the resistor is

Correct Answer: (3) 5√10 V
Solution:(3) Heating effect of electric current I, through a conductor of resistance, R for a time. t is given by H = 12Rt This equation is called the Joule's equation of electrical heating.

According to the question,

H = 50J, t =1 sec ,R = 5 ohm

So, 50 = I2 ×5 ×1 =5I2, or, 12 = 50/5 = 10

So, I = Now, according to Ohm's law. V = IR where V is the he potential difference applied across two ends So, V = 5V

38. In which of the following states the saddle peak is situated?

Correct Answer: (2) Andaman and Nicobar
Solution:(2) Saddle Peak or Saddle Hill is located on North Andaman Island in India's Andaman and Nicobar Islands. At 731 m, it is the highest point of the archipelago in the Bay of Bengal. It is surrounded by Saddle Peak National Park.

39. In Δ ABC, AB = 2√5 cm, AC = 10 cm, BC = 4√5 cm then ∠B is

Correct Answer: (3) 90°
Solution:(3) AB² + BC²
     = (2√5)² + (4√5)²
     = 20 + 80 = 100
     = 10² = AC²
     ∴ ∠B = 90°

40. Thari Pension Thare Pass Scheme introduced during 2015, with a view to ensure

Correct Answer: (4) Transparency in social security pensions
Solution:(4) Haryana Chief Minister.
Manohar Lal Khattar on 4
August 2015 launched Thari
Pension Thare Pass scheme in
Chandigarh for ensuring trans-
transparency in disbursement of
social security pensions. Under the first phase of the
scheme, over 10 lakh beneficiaries living in 1,744 villages
and 81 towns in the state
would get pensions through
banks and post offices.