Hssc Group ‘d’ Exam (Shift-II)

Total Questions: 90

51. Consider the following statements related to transfer of British capital from Kolkata to Delhi.

1. Architecture style is a amalgamation of Mughul, Buddhist and Greece culture.

2. The decision was taken in 1911, when King George V was crowned in England, a Durbar was held in Delhi to celebrate the occasion.

3. Lord Harding was the viceroy at the time.

4. Two architects, Edward Lutyens and Herbert Baker, were called on to design New Delhi and its buildings.

5. It took 20 years to complete the structures.

Which of the above are true?

Correct Answer: (1) All the above
Solution:Being a historical city, the architectural style of Delhi is neither 'Hindu' nor 'Muslim'.. It is a mixture of various architectural styles and amalgamation of various cultures. The 1911 Delhi Durbar was held in December 1911 following the coronation in Lon-don in June of that year of King George V and Queen. Mary. The King and Queen travelled to Delhi for the Durbar. During the Delhi Durbar, the royal couple announced the move of India's capital from Calcutta to Delhi. Lord Hardinge (1910-16) was the Viceroy and Governor-General of India then. It was designed by British architects, Sir Edwin Lutyens and Sir Herbert Baker during two decades. The new capital was inaugurated on 13 February 1931, by Viceroy and Governor General of India Lord Irwin.

52. Haryana has______ districts as on 2017-18.

Correct Answer: (1) 22
Solution:There are 22 Districts in Haryana. A district of Haryana state is an administrative geographical unit. headed by a Deputy Commissioner or District Magistrate, an officer belonging to the Indian Administrative Service. The district magistrate or the deputy commissioner is assisted by a number of of-ficers belonging to Haryana Civil Service and other state services.

53. The Tashkent Agreement was signed between Indian and

Correct Answer: (2) Pakistan
Solution:The Tashkent Declaration was a peace agreement be-tween India and Pakistan signed on 10 January 1966 that resolved the Indo-Pakistani War of 1965. It was signed between Lal Bahadur Shastri (Prime Minister of India) and Muhammad Ayub Khan (President of Pakistan) at Tashkent in the erstwhile Soviet Union.

54. Find the number which is not like the other 3 numbers.

Correct Answer: (1) 239
Solution:Except 239, the sum of first two digits of other numbers is equal to the third digit.

628 ⇒ 6 + 2 = 8

325 ⇒ 3 + 2 = 5

459⇒ 4 + 5 = 9

But,

239 ⇒ 2 + 3 = 5 (Not 9)

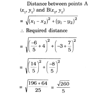
55. The distance between the points [-6/5, -3] and [-4, -7/5] is

Correct Answer: (2) √260/5
Solution:

56. In a den, there are rabbits and game birds. The have 35 heads and 98 feet. The number of rabbits in the den is

Correct Answer: (4) 14
Solution:

57. The soultions of system of equations x/a + y/b = 2, ax - by = = a²-b² are

Correct Answer: (1) x = a, y = b
Solution:x/a + y/b = 2 ,  ax - by = a² - b²

Putting x= a and y = b

a/a + b/b = 1 + 1 = 2

a² - b² = a² - b²

∴Solutions are:

x = a and y = b

58. President Pranab Mukherjee on_____ gave his assent to the Haryana Gauvansh Sanrakshan and Gausamvardhan Bill.

Correct Answer: (4) 12th November, 2015
Solution:President Pranab Mukherjee on 12 November, 2015 gave his assent to the Haryana Gauvansh Sanrakshan and Gausamvardhan Bill. The bill was passed by the Haryana Legislative Assembly on 16 March, 2015. Under it, Cow slaughter in Haryana will invite rigorous imprisonment ranging from 3 to 10 years and a fine of up to 1 lakh rupees.

59. Which of the following Himalayan mountain hills is not attached to the Myanmar part of Himalaya?

Correct Answer: (4) Jaintia hills
Solution:Khasi, Garo and Jaintia hills are are part of Shillong Plateau, located in Meghalaya. The Purvanchal range includes the hill ranges of the Patkai, Barail range, Manipur, Mizoram Mizo, and Naga Hills that are attached to the Myanmar part of Himalaya.

60. Beti Bachao Scheme is Introduced to avoid

Correct Answer: (2) Female foeticide
Solution:The Beti Bachao, Beti Padhao (BBBP) Scheme has been introduced in October, 2014 to address the issue of declining Child Sex Ratio (CSR). The Scheme was launched on 22nd January, 2015 at Panipat in Haryana. It is a triministerial effort of Ministries of Women and Child Development, Health & Family Welfare and Human Resource Development.