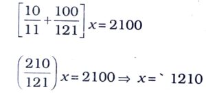
Hssc Mandi Supervisor Exam, 2016 (Evening Shift)Total Questions: 10091. A man borrows Rs 2,100 and undertakes to pay back with compound interest @10% p.a. In two equal yearly instalments at the end of first and second year. What is the amount of each instalment?(1) Rs 1,000(2) Rs 1,100(3) Rs 1.200(4) Rs 1,210Correct Answer: (4) Rs 1,210Solution:Option (4) is correct92. If any number is divided by 52, the remainder is 45. If the same number is divided by 13, the remainder will be(1) 5(2) 6(3) 12(4) 7Correct Answer: (2) 6Solution:Let dividend = 1So no. is 52 + 45 = 97when divided bu 13 Remainder= 97/13 ⇒Remainder 6.Option (2) is correct93. LCM Of two number is 1920 and HCF Is 16. If one number is 128, find the other number?(1) 204(2) 240(3) 260(4) 320Correct Answer: (2) 240Solution:Option (2) is correct94. A number that is 80 more than two third of its number(1) 80(2) 45(3) 60(4) 90(5) 240Correct Answer: (5) 240Solution:Let the no. be x according to the questionx= 2x/3+ 803x=2x+240∴ x = 240None of the option is correct.95. Find the odd one from the given alternatives.(1) Mumbai(2) Chennai(3) New Delhi(4) KolkataCorrect Answer: (3) New DelhiSolution:New Delhi is the capital of the country.96. A number, being successively divided by 5, 7 and 11, leaves 3. 1 and 1 as remainders respectively. Find the remainder.(1) 35(2) 55(3) 77(4) 78Correct Answer: (4) 78Solution:∴z= 11 *1+1=12y=12*7+1=85z=85*5+3=428Dividing 428 by 385 remainder is 43.97. What will be the remainder when 29 is divided by 30?(1) 1(2) 2(3) 29(4) 30Correct Answer: (3) 29Solution:If power is odd then will write same that, If it is not divisible then remainder will be same (29).98. The numerator of a rational number is less than its denominator by 5. If the numerator is increased by 9 and the denominator is doubled, then the new fraction is the original fraction's(1) 7/12(2) 9/14(3) 8/3(4) 11/16Correct Answer: (4) 11/16Solution:99. A 75 meter long train takes 20 seconds to cross the tree near the railway line, how much will the speed of that train be in k.m./hes mil(1) 40.5(2) 13.5(3) 81(4) 27.5Correct Answer: (2) 13.5Solution:100. If A gives B Rs 4, B will have twice much as A B. If B gives a RS 15, A will be 10 times as much as B. How much they have originally?(1) Rs 30(2) Rs 24(3) Rs18(4) Rs 15Correct Answer: (4) Rs 15Solution:Submit Quiz« Previous12345678910