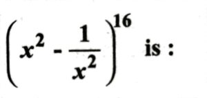
HSSC Staff Nurse (31-12-2023)Total Questions: 10081. The heart is in the __________ cavity.(a) Pelvic(b) Thoracic(c) Cranial(d) Abdominal(e) UnattemptedCorrect Answer: (b) Thoracic82. Father of immunology is:(a) Robert Koch(b) Edward Jenner(c) Louis Pasteur(d) Antony Van Leeuwenhoek(e) UnattemptedCorrect Answer: (b) Edward Jenner83. __________ are innate and inborn tendencies or psychological dispositions.(a) Perception(b) Instincts(c) Motivation(d) Senses(e) UnattemptedCorrect Answer: (b) Instincts84. The constant term in the expansion of(a) 16C7(b) 16C9(c) 16C10(d) 16C8(e) UnattemptedCorrect Answer: (d) 16C885. The __________ is a system of storage and transport of vaccines at low temperature from the manufacturer to the actual vaccination site.(a) Ice packs(b) Vaccine carriers(c) Cold chain(d) Hot chain(e) UnattemptedCorrect Answer: (c) Cold chain86. A __________ is an output device that draws pictures on paper based on commands from a computer.(a) Laser(b) Plotter(c) Dot Matrix(d) Inkjet(e) UnattemptedCorrect Answer: (b) Plotter87. __________ is the one in which a researcher collects data at a particular point in time.(a) Longitudinal research design(b) Trend studies(c) Panel studies(d) Cross-sectional research design(e) UnattemptedCorrect Answer: (d) Cross-sectional research design88. The famous Dal Lake is formed by this river:(a) The Jhelum(b) The Ravi(c) The Beas(d) The Chenab(e) UnattemptedCorrect Answer: (a) The Jhelum89. Chickenpox is transmitted from person to person by:(a) Vector(b) Droplet(c) Vehicle(d) Dust(e) UnattemptedCorrect Answer: (b) Droplet90. Hyponatremia is defined as a plasma sodium level less than:(a) 140(b) 150(c) 160(d) 135(e) UnattemptedCorrect Answer: (d) 135Submit Quiz« Previous12345678910Next »