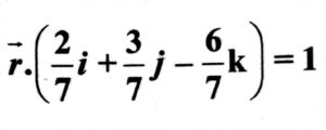
HSSC TGT Maths Date 30/4/2023 Morning ShiftTotal Questions: 10061. The number of possible outcomes when a fair coin is tossed 6 times is:(a) 2⁶(b) 6(c) 6²(d) 12(e) UnattemptedCorrect Answer: (a) 2⁶62. If |a x b| = |a . b|, then the angle between a and b is:(a) π(b) π/4(c) 2π/3(d) π/2(e) UnattemptedCorrect Answer: (b) π/463. The area of the region bounded by x² = 4y, y², y = 4 and the y-axis in the 1st quadrant is (in sq. units):(a) 4/3(4 - √2)(b) 32/3(c) 4/3(8 - 2√2)(d) None of these(e) UnattemptedCorrect Answer: (c) 4/3(8 - 2√2)64. The principal solutions of the trigonometric equation csc(θ) = -2 are:(a) 7π/6, 11π/6(b) π/6, -π/6(c) 5π/6, 7π/6(d) None of these(e) UnattemptedCorrect Answer: (a) 7π/6, 11π/665. Family y = Ax + A³ of curves is represented by the differential equation of degree:(a) 1(b) 3(c) 2(d) None of these(e) UnattemptedCorrect Answer: (b) 366. The distance of the plane ......................... from the origin is:(a) 1(b) 1/7(c) 2(d) None of these(e) UnattemptedCorrect Answer: (a) 167. If sin⁻¹ x + sin⁻¹y = π/2 , then the value of cos⁻¹x + cos⁻¹y is :(a) π/2(b) 0(c) π(d) 2π/3(e) UnattemptedCorrect Answer: (a) π/268. The minimum value of 4ˣ + 4¹⁻¹ (X∈R) is :(a) 2(b) 1(c) 4(d) 0(e) UnattemptedCorrect Answer: (c) 469. Let A = (x, y, z), B = (1, 2). The number of relations from A to B is:(a) 32(b) 16(c) 64(d) 6(e) UnattemptedCorrect Answer: (c) 6470. If :(a) π/4(b) tan⁻¹ 2(c) tan⁻¹ e(d) tan⁻¹ e-π/4(e) UnattemptedCorrect Answer: (d) tan⁻¹ e-π/4Submit Quiz« Previous12345678910Next »