LAW OF INDICES (CDS)

Total Questions: 13

1. If 10ⁿ divides 6²³ × 75⁹ × 105², then what is the largest value of n? [2019 (II) Evening Shift]

Correct Answer: (a) 20
Solution:Let x = 6²³ × 75⁹ × 105²

2. What is the largest value of n such that 10ⁿ divides the product [2019 (I) Morning Shift]

Correct Answer: (a) 65
Solution:

3. If 3ˣ = 4ʸ = 12ᶻ , then z is equal to [2019 (I) Morning Shift]

Correct Answer: (c) (xy)/(x + y)
Solution:3ˣ = 4ʸ = 12ᶻ  = k (let)

4. If x = yᵃ, y = zᵇ and z = xᶜ, then the value of abc is [2018 (II) Evening Shift]

Correct Answer: (a) 1
Solution:Given, x = yᵃ

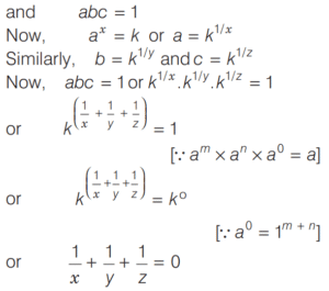
5. If aˣ = bʸ = cᶻ and abc = 1, then the value of (1/x) + (1/y) + (1/z) will be equal to [2018 (II) Evening Shift]

Correct Answer: (b) 0
Solution:Given, aˣ = bʸ = cᶻ = k [let]

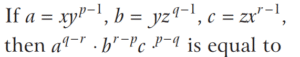
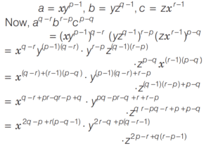
6. Solve the following equation [2018 (II) Evening Shift]

Correct Answer: (d) None of these
Solution:We have,

7. What is the largest power of 10 that divides the product 1 × 2 × 3 × 4 ×...× 23 × 24 × 25 ? [2018 (I) Morning Shift]

Correct Answer: (d) None of these
Solution:Product of 1 × 2 × 3 × 4 ×...× 23 × 24 × 25
Maximum power of 10 that divides the product = (2 × 5), (10), (12 × 15), (20), (4 × 25)
Hence, maximum power of 10 that divides the product is 6.

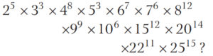
8. Solve the following equation [2018 (I) Morning Shift]

Correct Answer: (b) 1
Solution:

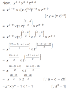
9. Solve the following equation [2018 (I) Morning Shift]

Correct Answer: (c) 1
Solution:Given, 2b = a + c

10. Solve the following equation [2017 (I) Morning Shift]

Correct Answer: (c)
Solution:We have,