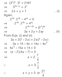
LAW OF INDICES (CDS)Total Questions: 1311. If 9ˣ . 3ʸ= 2187 and 2³ˣ . 2²ʸ - 4ˣʸ = 0 , then what can be the value of (x + y) ? [2017 (I) Morning Shift](a) 1(b) 3(c) 5(d) 7Correct Answer: (c) 5Solution:We have, 9ˣ . 3ʸ = 218712. If 4ˣ 2ʸ = 128 and 3³ˣ 3²ʸ - 9ˣʸ = 0, then the value of x + y can be equal to [2016 (I) Morning Shift](a) 7(b) 5(c) 3(d) 1Correct Answer: (b) 5Solution:Given, 4ˣ 2ʸ = 12813. Solve the following equation [2015 (I) Morning Shift](a) 0, n²(b) 1, n(c) n, n²(d) 1, n²Correct Answer: (a) 0, n²Solution: Submit Quiz« Previous12