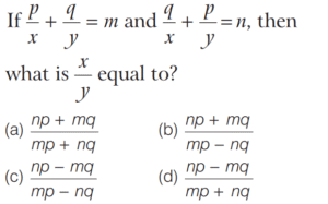
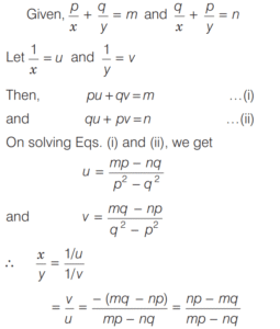
LINEAR EQUATIONS IN ONE AND TWO VARIABLES (CDS)Total Questions: 4121. The cost of 2.5 kg rice is ` 125. The cost of 9 kg rice is equal to that of 4 kg pulses. The cost of 14 kg pulses is equal to that of 1.5 kg tea. The cost of 2 kg tea is equal to that of 5 kg nuts. What is the cost of 11 kg nuts? [2016 (II) Evening Shift ](a) ₹2310(b) ₹3190(c) ₹4070(d) ₹4620Correct Answer: (d) ₹4620Solution:We have, cost of 2.5 kg rice = ₹12522. In an examination, a student was asked to divide a certain number by 8. By mistake he multiplied it by 8 and got the answer 2016 more than the correct answer. What was the number? [2016 (II) Evening Shift ](a) 252(b) 256(c) 258(d) 260Correct Answer: (b) 256Solution:Let x be the number, then 8x = x/8 + 201623. The value of k, for which the system of equations 3x - ky - 20 = 0 and 6x - 10y + 40 = 0 has no solution, is [2016 (I) Morning Shift](a) 10(b) 6(c) 5(d) 3Correct Answer: (c) 5Solution:24. There are three brothers. The sums of ages of two of them at a time are 4 year, 6 year and 8 year. The age difference between the eldest and the youngest is [2016 (I) Morning Shift](a) 3 year(b) 4 year(c) 5 year(d) 6 yearCorrect Answer: (b) 4 yearSolution:Let the ages of three brothers be a, b and c.25. Let a two digits number be k times the sum of its digits. If the number formed by interchanging the digits is m times the sum of the digits, then the value of m is [2016 (I) Morning Shift](a) 9 − k(b) 10 − k(c) 11 − k(d) k − 1Correct Answer: (c) 11 − kSolution:Let the unit’s place digit be y and ten’s place digit be x. 26. The annual incomes of two persons are in the ratio 9 : 7 and their expenses are in the ratio 4 : 3. If each of them saves ₹2000 per year, then what is the difference in their annual incomes? [2016 (I) Morning Shift](a) ₹4000(b) ₹4500(c) ₹5000(d) ₹5500Correct Answer: (a) ₹4000Solution:Let annual incomes of two persons be 9x and 7x and expenses be 4y and 3y, respectively.27. Solve the following equation [2016 (I) Morning Shift](a)(b)(c)(d)Correct Answer: (c)Solution:28. Solve the following equation [2016 (I) Morning Shift](a) 36(b) 24(c) 16(d) 9Correct Answer: (d) 9Solution:We have, x − y = 829. A tin of oil was 4/5 full. When 6 bottles of oil were taken out from this tin and 4 bottles of oil were poured into it, it was 3/4 full. Oil of how many bottles can the tin contain? (All bottles are of equal volume) [2015 (II) Evening Shift](a) 35(b) 40(c) 45(d) 50Correct Answer: (b) 40Solution:Let a tin of oil contain x bottles of oil.30. The number of pairs (x, y), where x, y are integers satisfying the equation 21x + 48y = 5, is [2015 (II) Evening Shift](a) Zero(b) One(c) Two(d) InfinityCorrect Answer: (a) ZeroSolution:Submit Quiz« Previous12345Next »