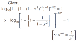
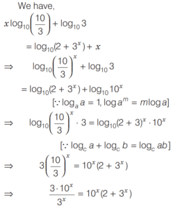
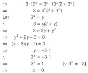
LOGARITHM (CDS)Total Questions: 1611. What is the number of digits in 2⁴⁰ ? [2017 (I) Morning Shift ](Given that log₁₀2 = 0.301)(a) 14(b) 13(c) 12(d) 11Correct Answer: (b) 13Solution:12. Solve the following equation [2017 (I) Morning Shift ](a) 10(b) 3(c) 1(d) 0Correct Answer: (d) 0Solution: 13. Solve the following equation [2016 (II) Evening Shift](a) x = 100(b) x = 10(c) x = 1(d) x = 0Correct Answer: (b) x = 10Solution: 14. Solve the following equation [2016 (II) Evening Shift](a)(b)(c)(d)Correct Answer: (c)Solution:15. The number of digits in 3³⁰ is n and it is given that log₁₀ 3 = 0.4771. What is the value of n? [2016 (II) Evening Shift](a) 13(b) 14(c) 15(d) 16Correct Answer: (c) 15Solution:16. Solve the following equation [2016 (I) Morning Shift](a) 0(b) 1(c) 2(d) 3Correct Answer: (b) 1Solution:Submit Quiz« Previous12