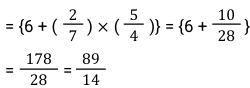
Mathematical Operations – Railway Reasoning (part – 4)Total Questions: 5011. If ‘÷’ stands for ‘subtraction’, ‘×’ stands for ‘division’, ‘+’ stands for ‘multiplication’ and ‘-’ stands for ‘addition’ then which of the following equations is correct? [RRB NTPC 04/02/2021 (Evening)](a) 12 ÷ 4 - 7 × 2 + 3 = 4(b) 8 ÷ 4 + 2 - 6 × 2 = 4(c) 8 ÷ 4 + 2 - 6 × 2 = 5(d) 12 × 4 - 7 ÷ 2 + 3 = 4Correct Answer: (d) 12 × 4 - 7 ÷ 2 + 3 = 4Solution:12 × 4 - 7 ÷ 2 + 3 = 4 ⇒ 12 ÷ 4 + 7 - 2 × 3 ⇒ 3 + 7 - 6 = 4 = RHS12. Which equations would become correct if we interchange the signs ‘×’ and ‘÷’ as well as the digits ‘2’ and ‘4’? [RRB NTPC 08/02/2021 (Evening)](a) 2 ÷ 4 × 14 = 60(b) 12 ÷ 42 × 4 = 160(c) 12 × 4 ÷ 42 = 168(d) 42 × 12 ÷ 2 = 20Correct Answer: (c) 12 × 4 ÷ 42 = 168Solution:12 × 4 ÷ 42 = 14 ÷ 2 × 24 = 7 × 24 = 168 = RHS13. If + means ‘division’, - means ‘addition’, ‘×’ means ‘subtraction’ and ‘÷’ means ‘multiplication’, then what will be the value of the following expression? [RRB NTPC 08/02/2021 (Evening)](5/2 × 2) + (3 - 1)(a) 3(b) 2(c) 16(d) 5Correct Answer: (b) 2Solution:( 5/2 × 2 ) + (3 - 1) = (5 × 2 - 2) ÷ (3 + 1) = (10 - 2) ÷ 4 = 8 ÷ 4 = 214. Select the combination of mathematical signs that when sequentially placed in the blanks of the given equation will balance the equation. [RRB NTPC 08/02/2021 (Evening)]12 _ 3 _ 12 _ 24(a) × - =(b) × = ÷(c) × = -(d) ÷ + =Correct Answer: (a) × - =Solution:12 _ 3 _ 12 _ 24 = 12 × 3 - 12 = 24 ⇒ 36 - 12 = 2415. If ‘÷’ stands for ‘division’, ‘-’ stands for ‘addition’, ‘×’ stands for ‘subtraction’ and ‘+’ stands for ‘multiplication’, then what will be the value of the following expression? [RRB NTPC 09/02/2021 (Morning)][{(15 × 10) − (3/5)} + (12 − 8)]/1(a) 1(b) 0(b) 10(d) 2Correct Answer: (a) 1Solution:= [{(15 × 10) - (3/5)} + (12 - 8)]/1 = [{(15 - 10) + (3 × 5)} ÷ (12 + 8)] × 1 = 116. If ‘÷’ stands for addition, ‘×’ stands for subtraction, ‘+’ stands for division and ‘-’ stands for multiplication, then which of the following equations is correct? [RRB NTPC 09/02/2021 (Evening)](a) 20 ÷ 12 + 6 × 5 - 2 = 12(b) 18 × 12 + 6 ÷ 3 - 2 = 12(c) 20 × 12 + 4 ÷ 3 - 2 = 12(d) 20 × 12 + 6 ÷ 5 - 2 = 12Correct Answer: (a) 20 ÷ 12 + 6 × 5 - 2 = 12Solution:This type of question uses hit and trial method. solving option(a), Given: 20 ÷ 12 + 6 × 5 - 2 After change the sign, = 20 + 12 ÷ 6 - 5 × 2 = 20 + 2 - 10 = 22 - 10 = 12 = RHS17. If ‘+’ means ‘divided’, ‘-’ means ‘add’, ‘×’ means ‘minus’, what will be the value of the following expression? [RRB NTPC 10/02/2021 (Morning)]{6 - (2/7) + (4/5)}(a) 45/7(b) 87/14(c) 7(d) 89/14Correct Answer: (d) 89/14Solution:18. If the following equation has to be balanced, then the signs in which of the following options will be used in the same sequence? [RRB NTPC 10/02/2021 (Evening)]65, 5, 25 = 190(a) ×, -(b) ×, +(c) ÷, ×(d) +, ×Correct Answer: (d) +, ×Solution:65, 5, 25 = 190 After going through options, we find that option (d) satisfies the equation. 65 + 5 × 25 = 190 ⇒ 65 + 125 = 190 190 = 190 (LHS = RHS)19. If ‘×’ means ‘-’, ‘÷’ means ‘+’, ‘-’ means ‘÷’ and ‘+’ means ‘×’, then what is value of 40 × 5 + 10 - 2 ÷ 8? [RRB NTPC 10/02/2021 (Evening)](a) -28(b) 57(c) 23(d) 7Correct Answer: (c) 23Solution:40 × 5 + 10 - 2 ÷ 8 After changing the signs, = 40 - 5 × 10 ÷ 2 + 8 = 40 - 25 + 8 = 40 - 25 + 8 = 48 - 25 = 2320. Which amongst the given option could be the value of the expression 2 + 2 × 2 - 3 ÷ 3 × 3 - 4 × 4 ÷ 4 = ? [RRB NTPC 12/02/2021 (Morning)](a) 1(b) -2(c) 2(d) -1Correct Answer: (d) -1Solution:2 + 2 × 2 - 3 ÷ 3 × 3 - 4 × 4 ÷ 4 = -1Submit Quiz« Previous12345Next »