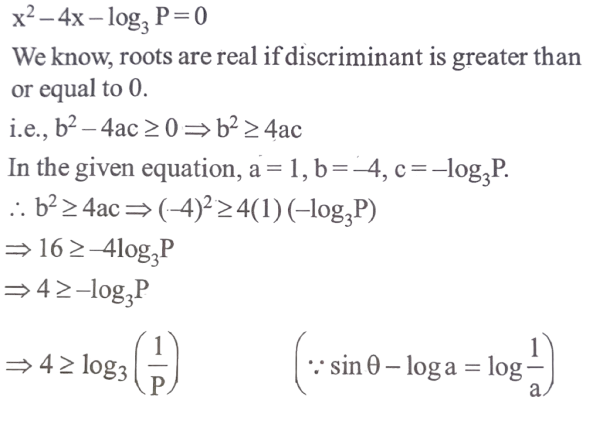
Mathematics NDA/NA SOLVED PAPER 2017 (II) (01 to 50)Total Questions: 5011. Find the answer of given equation?(a)(b)(c)(d)Correct Answer: (a)Solution:12. The sum of all real roots of the equation |x - 3|² + |x - 3| - 2 = 0 is:(a) 2(b) 3(c) 4(d) 6Correct Answer: (d) 6Solution:13. It is given that the roots of the equation x² - 4x - log₃ P = 0 are real. For this the minimum value of P is:(a) 1/27(b) 1/64(c) 1/81(d) 1Correct Answer: (c) 1/81Solution:14. If A is a square matrix, then the value of adj Aᵀ - (adj A)ᵀ is equal to?(a) A(b) 2 |A| I, where I is the identity matrix(c) null matrix whose order is same as that of A(d) unit matrix whose order is same as that of ACorrect Answer: (c) null matrix whose order is same as that of ASolution:15. Find the answer of given equation?(a) 6(b) 36(c) 216(d) 512Correct Answer: (a) 6Solution:16. Simplify the equation?(a) 1(b) cosθ(b) cosθ(d) cos2θCorrect Answer: (b) cosθSolution:17. The number of terms in the expansion of (x + a)¹⁰⁰ + (x - a)¹⁰⁰ after simplification: is:(a) 202(b) 101(c) 51(d) 50Correct Answer: (c) 51Solution:18. In the expansion of (1 + x)⁵⁰ , the sum of the coefficients of odd powers of x is:(a) 2²⁶(b) 2⁴⁹(c) 2⁵⁰(d) 2⁵¹Correct Answer: (b) 2⁴⁹Solution:19. Simplify the equation?(a)(b)(c)(d)Correct Answer: (a)Solution:20. A person is to count 4500 notes. Let aₙ denote the number of notes he counts in the nᵗʰ minute. If a₁ = a₂ = a₃ =......= a₁₀ = 150, and a₁₀, a₁₁, a₁₂,.....are in AP with the common difference −2, then the time taken by him to count all the notes is:(a) 24 minutes(b) 34 minutes(c) 125 minutes(d) 135 minutesCorrect Answer: (b) 34 minutesSolution:Submit Quiz« Previous12345Next »