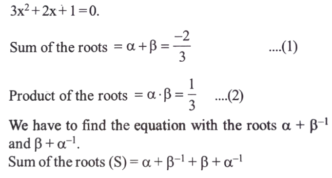
Mathematics NDA/NA SOLVED PAPER 2017 (II) (01 to 50)Total Questions: 5021. Find the answer of given question:(a) 1(b) 4(c) 8(d) 16Correct Answer: (b) 4Solution:22. If we define a relation R on the set N × N as (a, b) R (c, d) ⇔ a + d = b + c for all (a, b), (c, d) ∈ N × N, then the relation is:(a) symmetric only(b) symmetric and transitive only(c) equivalence relation(d) reflexive onlyCorrect Answer: (c) equivalence relationSolution:23. If y = x + x² + x³ +......up to infinite terms where x < 1, then which one of the following is correct?(a)(b)(c)(d)Correct Answer: (a)Solution:24. If α and β are the roots of the equation 3x² + 2x + 1 = 0, then the equation whose roots are α + β⁻¹ and β + α⁻¹ is:(a) 3x² + 8x + 16 = 0(b) 3x² − 8x − 16 = 0(c) 3x² + 8x − 16 = 0(d) x² + 8x + 16 = 0Correct Answer: (a) 3x² + 8x + 16 = 0Solution:25. Find the answer of given question?(a) logₑ9(b) 0(c) 1(d) logₑ3Correct Answer: (a) logₑ9Solution:26. A tea party is arranged for 16 people along two sides of a long table with eight chairs on each side. Four particular men wish to sit on one particular side and two particular men on the other side. The number of ways they can be seated is:(a) 24 × 8! × 8!(b) (8!)³(c) 210 × 8! × 8!(d) 16!Correct Answer: (c) 210 × 8! × 8!Solution:27. The system of equations Kx + y + z = 1, x + Kx + z = K and x + y + Kz = K² has no solution if K equals?(a) 0(b) 1(c) -1(d) -2Correct Answer: (d) -2Solution:28. Find the answer of given question?(a) n, 2(b) n, 3(c) n + 1, 2(d) n + 1, 3Correct Answer: (d) n + 1, 3Solution:29. In ΔPQR, ∠R = π/2. If tan(P/2) and tan(Q/2) are the roots of the equation ax² + bx + c = 0, then which one of the following is correct?(a) a = b + c(b) b = c + a(c) c = a + b(d) b = cCorrect Answer: (c) c = a + bSolution:30. Find the answer of given question?(a) 1 + √3 (b) 1 + √5(c) 1 − √5(d) √5 − 1Correct Answer: (b) 1 + √5Solution:Submit Quiz« Previous12345Next »