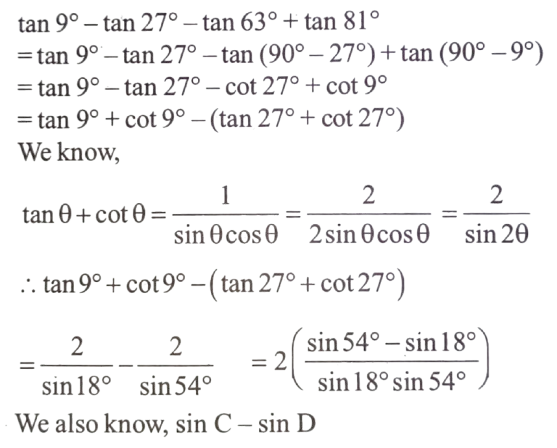
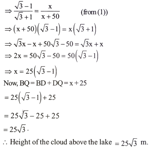
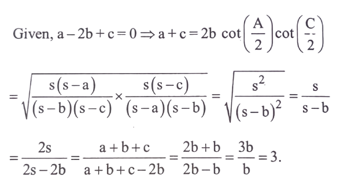
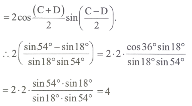
Mathematics NDA/NA SOLVED PAPER 2017 (II) (01 to 50)Total Questions: 5031. The angle of elevation of a stationary cloud from a point 25 m above a lake is 15° and the angle of depression of its image in the lake is 45°. The height of the cloud above the lake level is:(a) 25 m(b) 25 √3 m(c) 50 m(d) 50 √3 mCorrect Answer: (b) 25 √3 mSolution:32. The value of tan 9° - tan 27° - tan 63° + tan 81° is equal to?(a) -1(b) 0(c) 1(d) 4Correct Answer: (d) 4Solution:33. The value of √3 cosec 20° - sec 20° is equal to?(a) 4(b) 2(c) 1(d) -4Correct Answer: (a) 4Solution:34. Angle α is divided into two parts A and B such that A − B = x and tan A : tan B = p : q. The value of sin x is equal to:(a)(b)(c)(d)Correct Answer: (d)Solution:35. Find the answer of given question?(a) 0(b) π/4(c) π/3(d) π/2Correct Answer: (b) π/4Solution:36. The angles of elevation of the top of a tower from the top and foot of a pole are respectively 30° and 45°. If hₜ is the height of the tower and hₚ is the height of the pole, then which of the following are correct?(a) 1 and 3 only(b) 2 and 3 only(c) 1 and 2 only(d) 1, 2 and 3Correct Answer: (c) 1 and 2 onlySolution:Let the distance between tower and pole be 'x'.37. In a triangle ABC, a - 2b + c = 0. The value of cot (A/2) cot (C/2) is:(a) 9/2(b) 3(c) 3/2(d) 1Correct Answer: (b) 3Solution:38. Find the answer of given equation?(a)(b)(c)(d)Correct Answer: (a)Solution:39. Solve the following equation?(a) right-angled(b) equilateral(c) isosceles(d) obtuse-angledCorrect Answer: (a) right-angledSolution:40. The principal value ofsin⁻¹x lies in the interval :(a)(b)(c)(d)Correct Answer: (b)Solution:Submit Quiz« Previous12345Next »