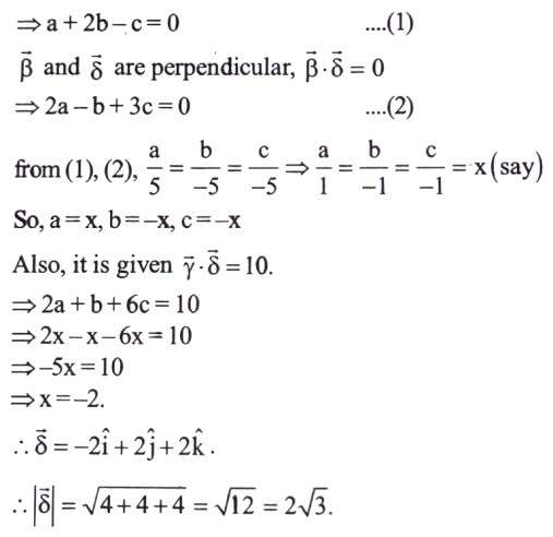
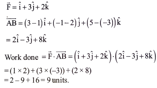
Mathematics NDA/NA SOLVED PAPER 2017 (II) (01 to 50)Total Questions: 5041. The points (a, b), (0, 0), (-a, -b) and (ab, b²) are:(a) the vertices of a parallelogram(b) the vertices of a rectangle(c) the vertices of a square(d) collinearCorrect Answer: (d) collinearSolution: 42. The length of the normal from origin to the plane x + 2y - 2z = 9 is equal to?(a) 2 units(b) 3 units(c) 4 units(d) 5 unitsCorrect Answer: (b) 3 unitsSolution:43. Simplify the question?(a) 1 and 2 only(b) 2 and 3 only(c) 1 and 3 only(d) 1, 2 and 3Correct Answer: (c) 1 and 3 onlySolution:44. The angle between the lines x + y − 3 = 0 and x − y + 3 = 0 is α and the acute angle between the lines x − √3 y + 2√3 = 0 and √3 x − y + 1 = 0 is β. Which one of the following is correct?(a) α = β(b) α > β(c) α < β(d) α = 2βCorrect Answer: (b) α > βSolution:45. Simplify the question?(a) √3 units(b) 2 √3 units(c) √3/2 unit(d) 1/ √3 unitCorrect Answer: (b) 2 √3 unitsSolution:46. Simplify the question?(a)(b)(c)(d)Correct Answer: (a)Solution:47. Simplify the question?(a) 5 units(b) 7 units(c) 9 units(d) 10 unitsCorrect Answer: (c) 9 unitsSolution:48. Simplify the equation?(a)(b)(c)(d)Correct Answer: (b)Solution:49. A man running round a racecourse notes that the sum of the distances of two flag-posts from him is always 10 m and the distance between the flag-posts is 8 m. The area of the path he encloses is:(a) 18π square metres(b) 15π square metres(c) 12π square metres(d) 8π square metresCorrect Answer: (b) 15π square metresSolution:50. The distance of the point (1, 3) from the line 2x + 3y = 6, measured parallel to the line 4x + y = 4, is:(a) 5/√13 units(b) 3/√17 units(c) √17 units(d) √17/2 unitsCorrect Answer: (d) √17/2 unitsSolution:Submit Quiz« Previous12345